🇳🇴 🇬🇧 🇩🇪 🇨🇿 🇫🇮

Meteor, poloha: Rødberg 2021-12-13 21:07:54 UTC

Soubor KML

Mapa zobrazuje dráhy meteoru. Světlejší čáry ukazují směry od pozorovacích stanic při objevení se meteoru a tmavší čáry, kde byl naposledy viděn. Modrá šipka značí viditelnou dráhu meteoru.

static map
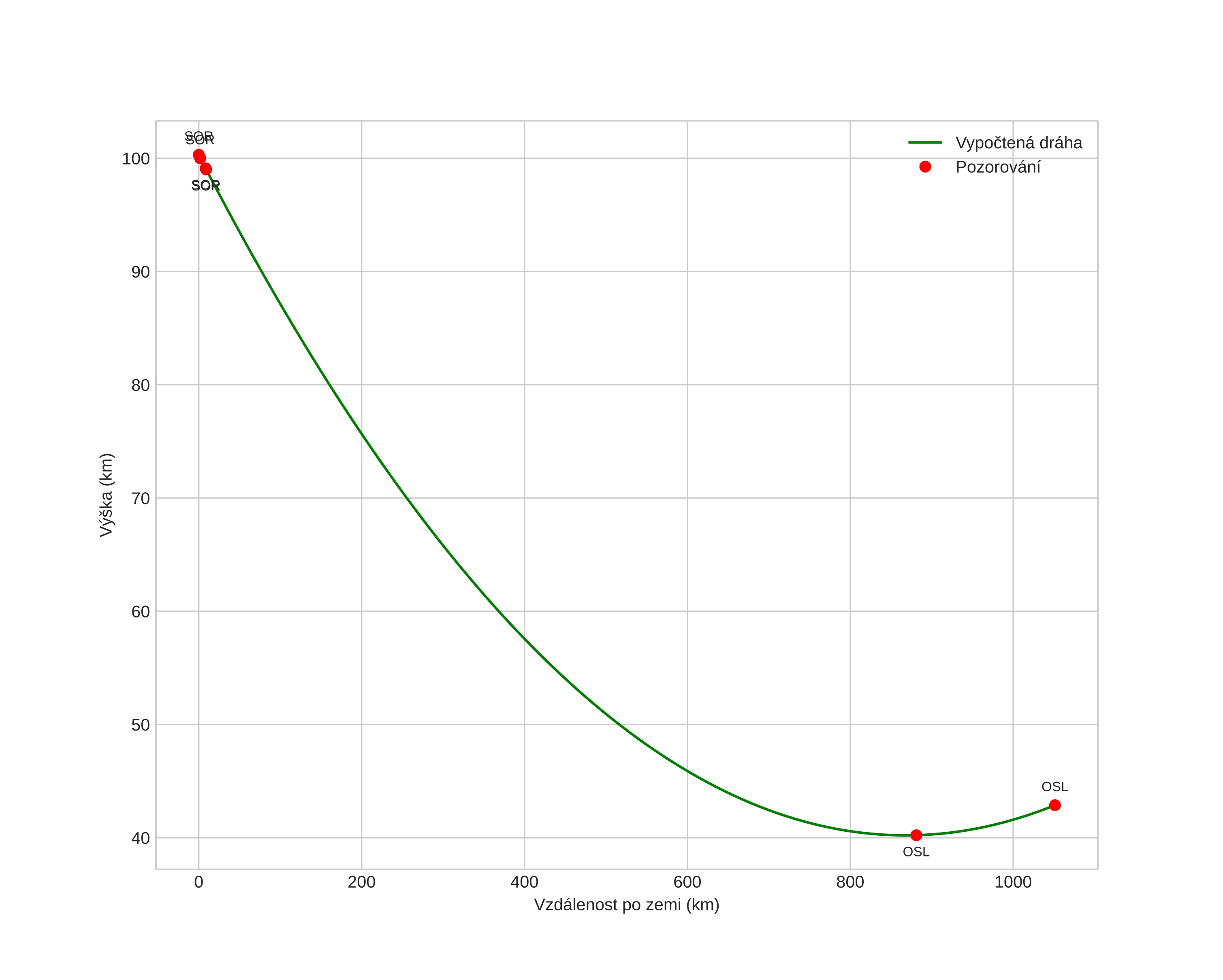
height profile
Atmosférická dráha meteoru:
Počáteční výška: 100,3 km
Konečná výška: 42,9 km
Počáteční poloha: 68,270N 19,837E
Konečná poloha: 60,091N 8,801E
Směr: 215,5°
Sklon: 3,1°
VstupnĂ­ rychlost: 19,9 km/s
Rektascenze radiantu: 13:34 (203,7°)
Deklinace radiantu: 10,9°
MeteorickĂ˝ roj: sporadickĂ˝
Elementy dráhy meteoroidu:
Vzdálenost v periheliu: 0,192 AU
Excentricita: 0,684
Sklon dráhy: 18,4°
Délka vzestupného uzlu: 261,8°
Argument perihelia: 10,6°
Střední anomálie: 139,8°
Epocha: 2021 DEC 13 21:07:54
orbit plot

NeinteraktivnĂ­ graf

position vs time
speed and acceleration