🇳🇴 🇬🇧 🇩🇪 🇨🇿 🇫🇮

Meteor Rødbergin yllä 2021-12-13 21:07:54 UTC

KML-tiedosto

Kartta näyttää meteorin suuntahavainnot. Vaaleammat viivat näyttävät suunnat havaintoasemilta meteorin ilmestyessä, ja tummemmat viivat näyttävät, missä se viimeksi nähtiin. Sininen nuoli näyttää meteorin näkyvän lennon.

static map
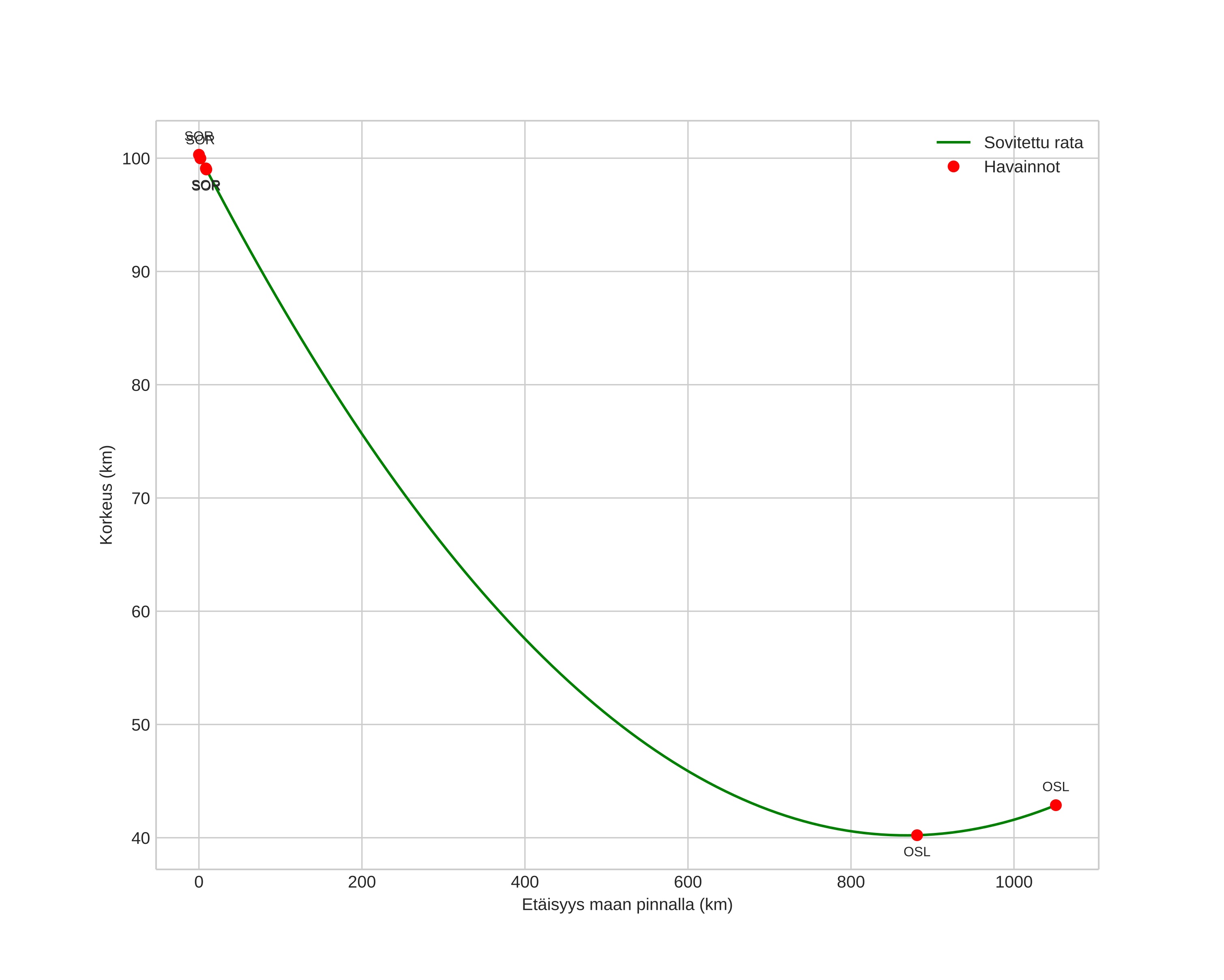
height profile
Meteorin ilmakehärata:
Alkukorkeus: 100,3 km
Loppukorkeus: 42,9 km
Alkupiste: 68,270N 19,837E
Loppupiste: 60,091N 8,801E
Suunta: 215,5°
Kallistuskulma: 3,1°
Tulonopeus: 19,9 km/s
Radiantin R,A,: 13:34 (203,7°)
Radiantin Dekl,: 10,9°
Meteoriparvi: Sporadinen
Meteoroidin rataelementit:
Perihelietäisyys: 0,192 AU
Eksentrisyys: 0,684
Inklinaatio: 18,4°
Nousevan solmun pituus: 261,8°
Perihelin argumentti: 10,6°
Keskianomalia: 139,8°
Epookki: 2021 DEC 13 21:07:54
orbit plot

Ei-interaktiivinen kuvaaja

position vs time
speed and acceleration