🇳🇴 🇬🇧 🇩🇪 🇨🇿 🇫🇮

Meteor over Rødberg 2021-12-13 21:07:54 UTC

KML file

The map shows the bearings for the meteor. The lighter lines show the directions from the observation sites at the meteor's appearance, and the darker lines show where it was last seen. The blue arrow indicates the visible path of the meteor.

static map
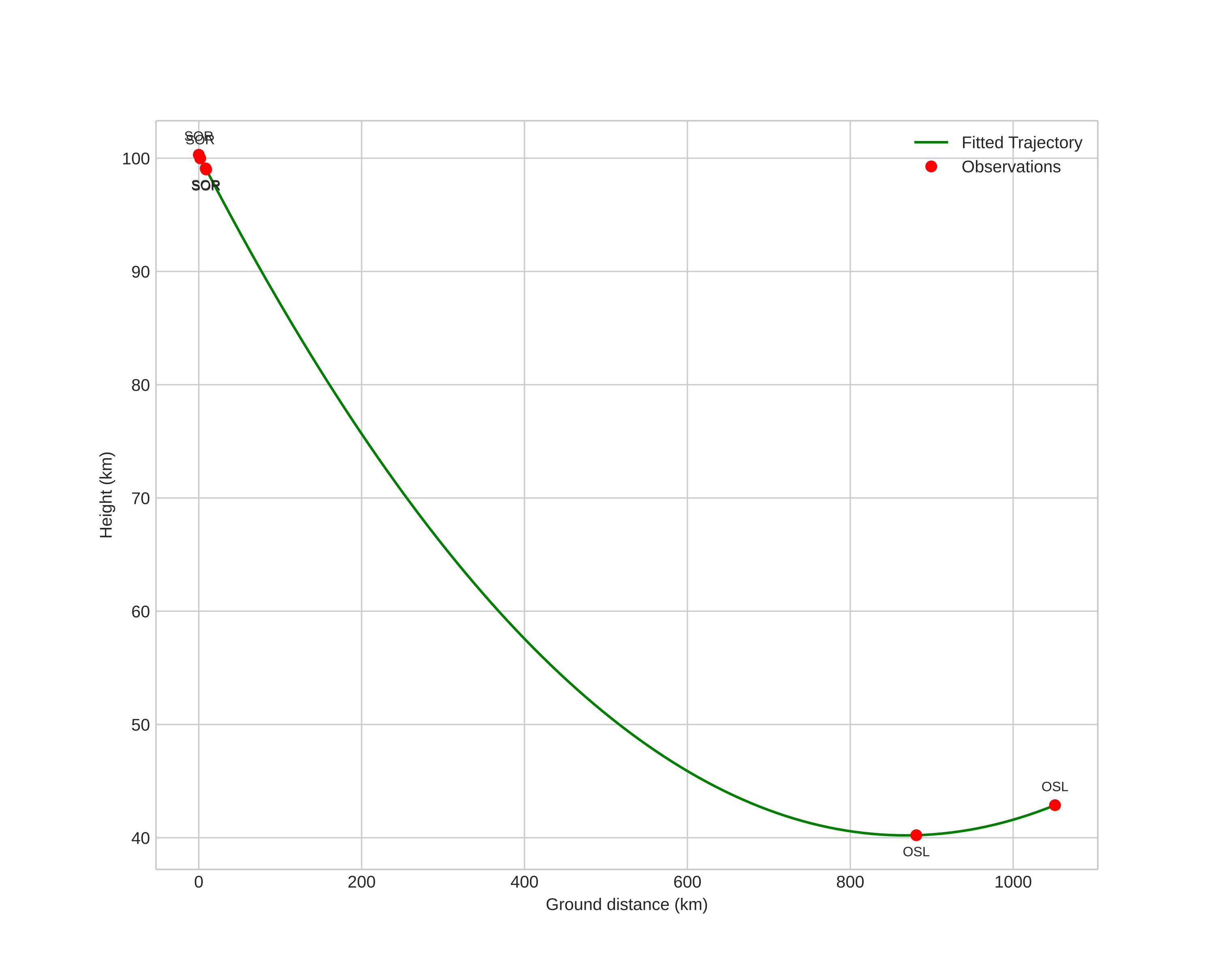
height profile
Meteor's Atmospheric Trajectory:
Start height: 100.3 km
End height: 42.9 km
Start position: 68.270N 19.837E
End position: 60.091N 8.801E
Direction: 215.5°
Inclination angle: 3.1°
Entry speed: 19.9 km/s
Radiant R.A.: 13:34 (203.7°)
Radiant Dec.: 10.9°
Meteor Shower: sporadic
Meteoroid's Orbital Elements:
Perihelion distance: 0.192 AU
Eccentricity: 0.684
Inclination: 18.4°
Long. of Asc. Node: 261.8°
Argument of Perihelion: 10.6°
Mean Anomaly: 139.8°
Epoch: 2021 DEC 13 21:07:54
orbit plot

Non-interactive plot

position vs time
speed and acceleration

Sorreisa (SOR) cam1


gnomonic
Videos
• Gnomonic
• Gnomonic with coordinates
• Original
• Original with coordinates
Images
• Gnomonic
• Gnomonic with coordinates
• Uncorrected gnomonic with coordinates
• Gnomonic with labels
• Uncorrected gnomonic with labels
• Original
• Original with coordinates
• Original with mask
Text Files
• Detection
• Observation
• Coordinates
• Error Messages
Brightness

Sorreisa (SOR) cam2


gnomonic
Videos
• Gnomonic
• Gnomonic with coordinates
• Original
• Original with coordinates
Images
• Gnomonic
• Gnomonic with coordinates
• Uncorrected gnomonic with coordinates
• Gnomonic with labels
• Uncorrected gnomonic with labels
• Original
• Original with coordinates
• Original with mask
Text Files
• Detection
• Observation
• Coordinates
• Error Messages
Brightness

Voksenlia (OSL) cam2

fireball
gnomonic
Videos
• Gnomonic
• Gnomonic with coordinates
• Original
• Original with coordinates
Images
• Gnomonic
• Gnomonic with coordinates
• Uncorrected gnomonic with coordinates
• Gnomonic with labels
• Uncorrected gnomonic with labels
• Original
• Original with coordinates
• Original with mask
Text Files
• Detection
• Observation
• Coordinates
• Error Messages
Brightness