🇳🇴 🇬🇧 🇩🇪 🇨🇿 🇫🇮

Meteor, poloha: Skjervøy 2021-12-14 19:59:01 UTC

Soubor KML  |  InteraktivnĂ­ mapa

Mapa zobrazuje dráhy meteoru. Světlejší čáry ukazují směry od pozorovacích stanic při objevení se meteoru a tmavší čáry, kde byl naposledy viděn. Modrá šipka značí viditelnou dráhu meteoru.

static map
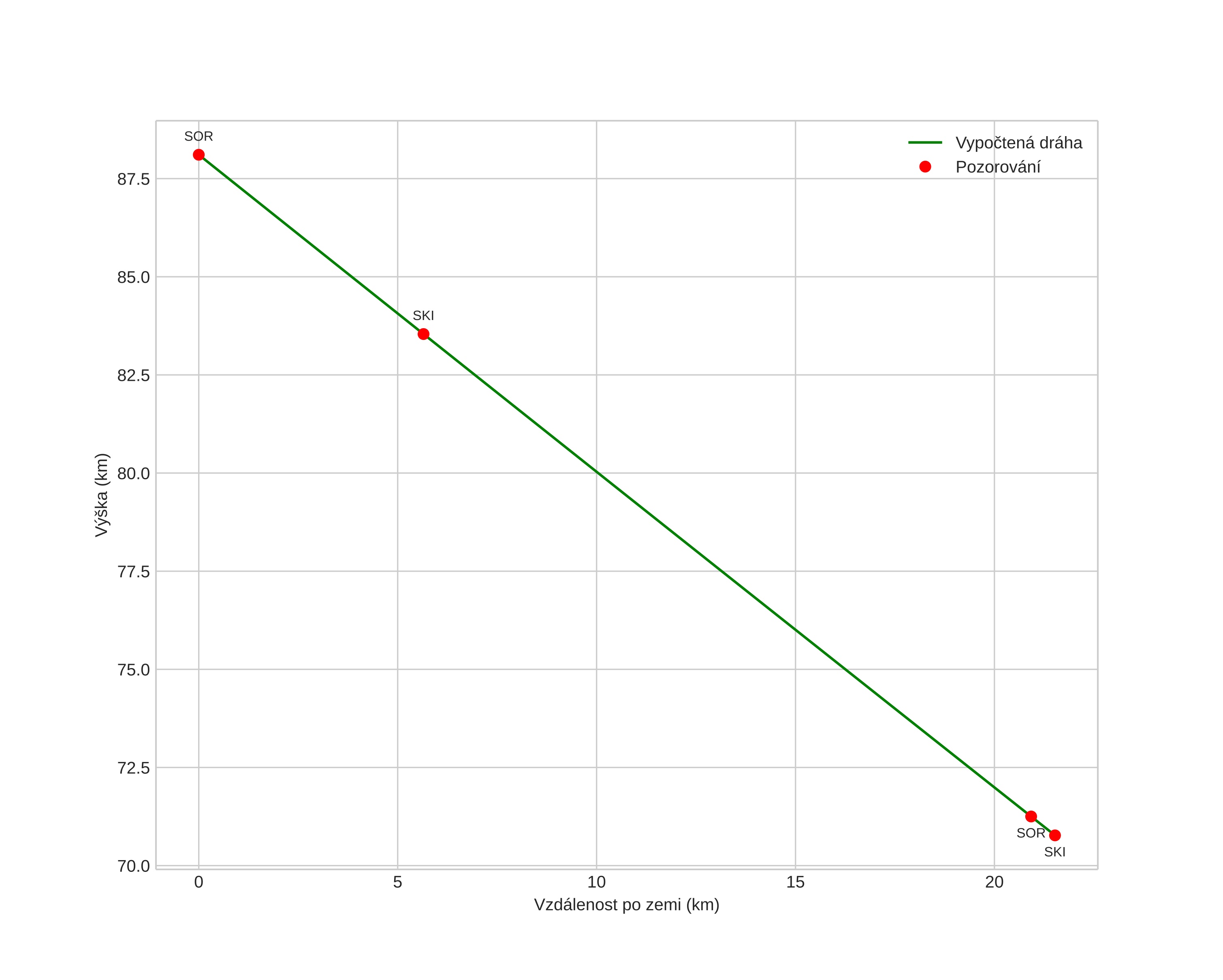
height profile
Atmosférická dráha meteoru:
Počáteční výška: 87,3 km
Konečná výška: 67,0 km
Počáteční poloha: 70,509N 21,674E
Konečná poloha: 70,520N 20,988E
Směr: 273,1°
Sklon: 38,6°
VstupnĂ­ rychlost: 36,5 km/s
Rektascenze radiantu: 07:50 (117,6°)
Deklinace radiantu: 33,9°
MeteorickĂ˝ roj: Geminidy
Elementy dráhy meteoroidu:
Vzdálenost v periheliu: 0,133 AU
Excentricita: 0,893
Sklon dráhy: 30,1°
Délka vzestupného uzlu: 262,7°
Argument perihelia: 326,4°
Střední anomálie: 333,3°
Epocha: 2021 DEC 14 19:59:01
orbit plot

NeinteraktivnĂ­ graf | InteraktivnĂ­ graf

position vs time
speed and acceleration