🇳🇴 🇬🇧 🇩🇪 🇨🇿 🇫🇮

Meteor Skjervøyn yllä 2021-12-14 19:59:01 UTC

KML-tiedosto  |  Interaktiivinen kartta

Kartta näyttää meteorin suuntahavainnot. Vaaleammat viivat näyttävät suunnat havaintoasemilta meteorin ilmestyessä, ja tummemmat viivat näyttävät, missä se viimeksi nähtiin. Sininen nuoli näyttää meteorin näkyvän lennon.

static map
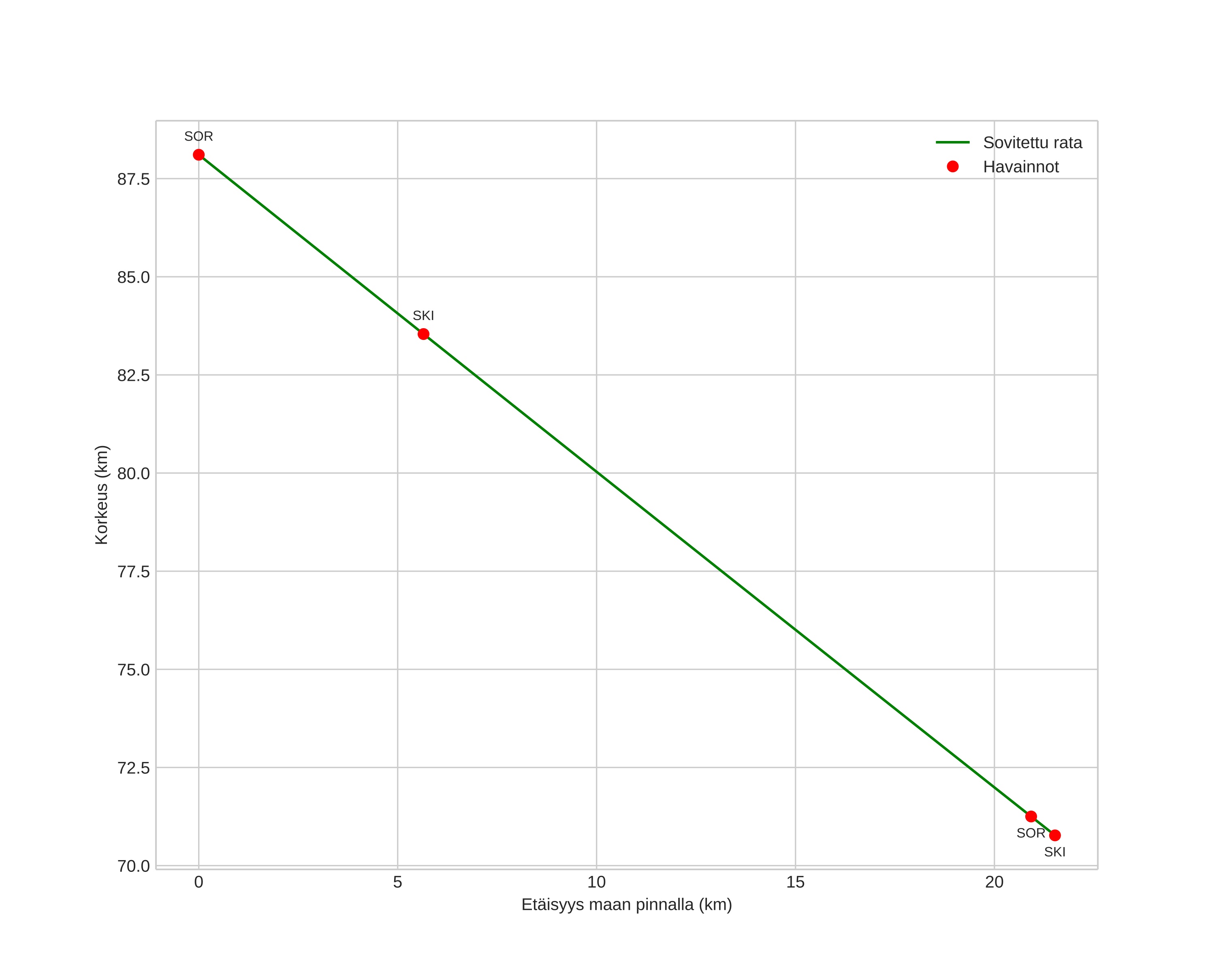
height profile
Meteorin ilmakehärata:
Alkukorkeus: 87,3 km
Loppukorkeus: 67,0 km
Alkupiste: 70,509N 21,674E
Loppupiste: 70,520N 20,988E
Suunta: 273,1°
Kallistuskulma: 38,6°
Tulonopeus: 36,5 km/s
Radiantin R,A,: 07:50 (117,6°)
Radiantin Dekl,: 33,9°
Meteoriparvi: Geminidit
Meteoroidin rataelementit:
Perihelietäisyys: 0,133 AU
Eksentrisyys: 0,893
Inklinaatio: 30,1°
Nousevan solmun pituus: 262,7°
Perihelin argumentti: 326,4°
Keskianomalia: 333,3°
Epookki: 2021 DEC 14 19:59:01
orbit plot

Ei-interaktiivinen kuvaaja | Interaktiivinen kuvaaja

position vs time
speed and acceleration