🇳🇴 🇬🇧 🇩🇪 🇨🇿 🇫🇮

Meteor über Skjervøy 2021-12-14 19:59:01 UTC

KML-Datei  |  Interaktive Karte

Die Karte zeigt die Peilungen für den Meteor. Die helleren Linien zeigen die Richtungen von den Beobachtungsorten beim Erscheinen des Meteors, und die dunkleren Linien, wo er zuletzt gesehen wurde. Der blaue Pfeil zeigt die sichtbare Bahn des Meteors.

static map
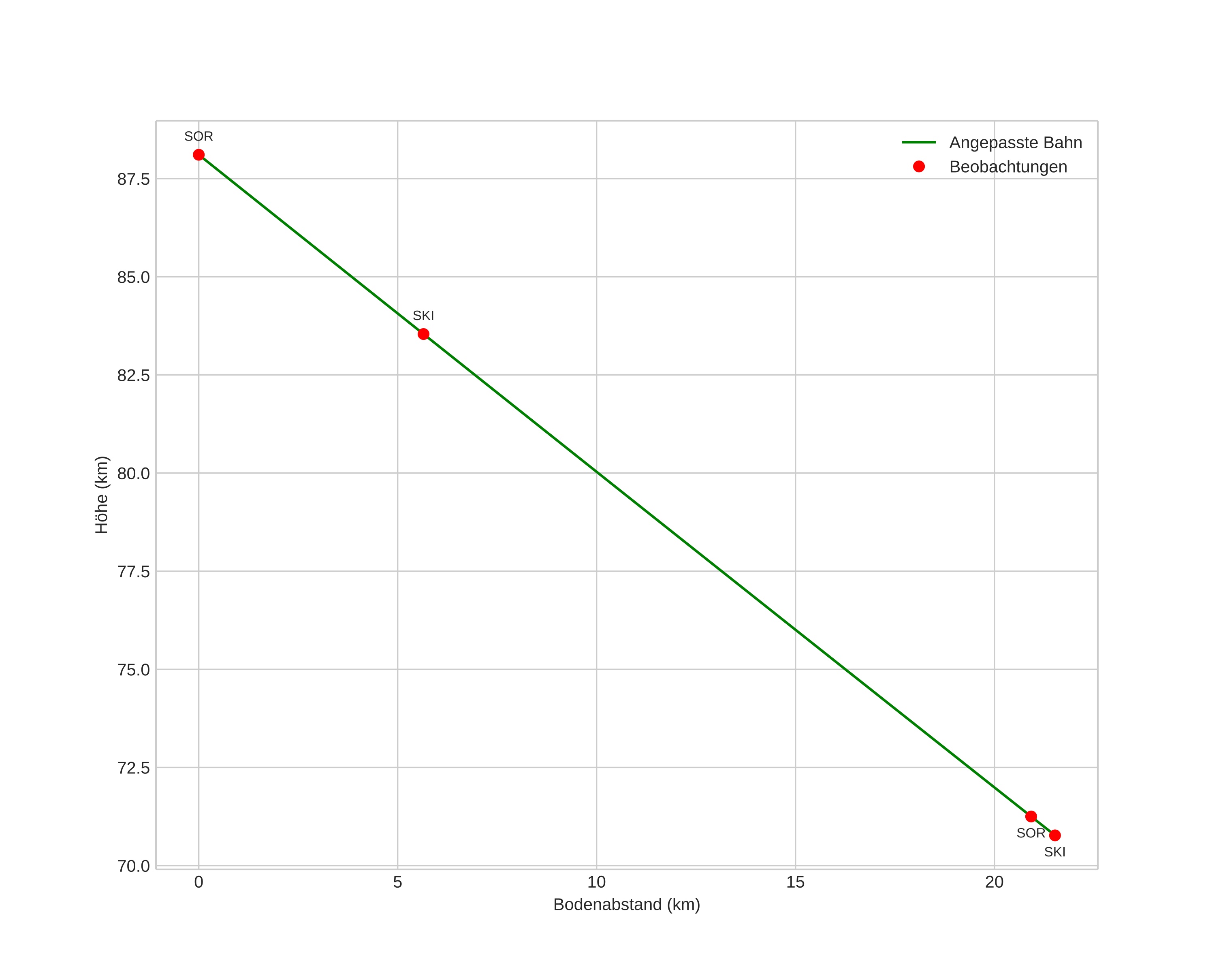
height profile
Atmosphärische Bahn des Meteors:
Anfangshöhe: 87,3 km
Endhöhe: 67,0 km
Startposition: 70,509N 21,674E
Endposition: 70,520N 20,988E
Richtung: 273,1°
Neigungswinkel: 38,6°
Eintrittsgeschwindigkeit: 36,5 km/s
Rektaszension des Radianten: 07:50 (117,6°)
Deklination des Radianten: 33,9°
Meteorstrom: Geminiden
Bahnelemente des Meteoroiden:
Periheldistanz: 0,133 AU
Exzentrizität: 0,893
Inklination: 30,1°
Länge des aufsteigenden Knotens: 262,7°
Argument des Perihels: 326,4°
Mittlere Anomalie: 333,3°
Epoche: 2021 DEC 14 19:59:01
orbit plot

Nicht-interaktives Diagramm | Interaktives Diagramm

position vs time
speed and acceleration