🇳🇴 🇬🇧 🇩🇪 🇨🇿 🇫🇮

Meteor, poloha: VĂĄgĂĄmo 2021-12-16 15:54:08 UTC

Soubor KML

Mapa zobrazuje dráhy meteoru. Světlejší čáry ukazují směry od pozorovacích stanic při objevení se meteoru a tmavší čáry, kde byl naposledy viděn. Modrá šipka značí viditelnou dráhu meteoru.

static map
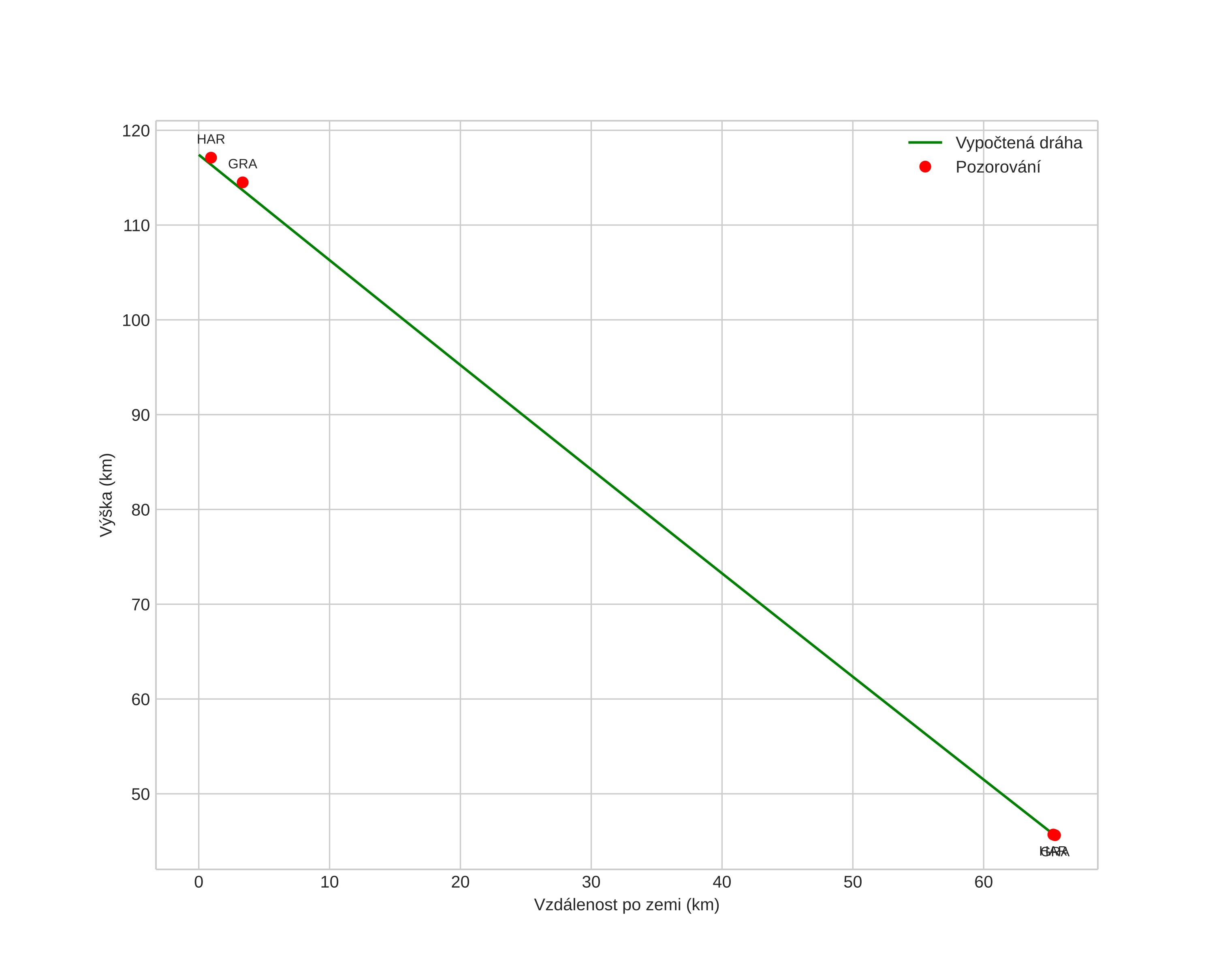
height profile
Atmosférická dráha meteoru:
Počáteční výška: 117,4 km
Konečná výška: 45,6 km
Počáteční poloha: 62,096N 8,322E
Konečná poloha: 61,675N 9,195E
Směr: 135,3°
Sklon: 47,7°
VstupnĂ­ rychlost: 50,6 km/s
Rektascenze radiantu: 15:29 (232,5°)
Deklinace radiantu: 60,8°
MeteorickĂ˝ roj: sporadickĂ˝
Elementy dráhy meteoroidu:
Vzdálenost v periheliu: 0,983 AU
Excentricita: 1,745
Sklon dráhy: 71,7°
Délka vzestupného uzlu: 264,6°
Argument perihelia: 177,0°
Střední anomálie: 1,2°
Epocha: 2021 DEC 16 15:54:08
orbit plot

NeinteraktivnĂ­ graf

position vs time
speed and acceleration