🇳🇴 🇬🇧 🇩🇪 🇨🇿 🇫🇮

Meteor Vågåmon yllä 2021-12-16 15:54:08 UTC

KML-tiedosto

Kartta näyttää meteorin suuntahavainnot. Vaaleammat viivat näyttävät suunnat havaintoasemilta meteorin ilmestyessä, ja tummemmat viivat näyttävät, missä se viimeksi nähtiin. Sininen nuoli näyttää meteorin näkyvän lennon.

static map
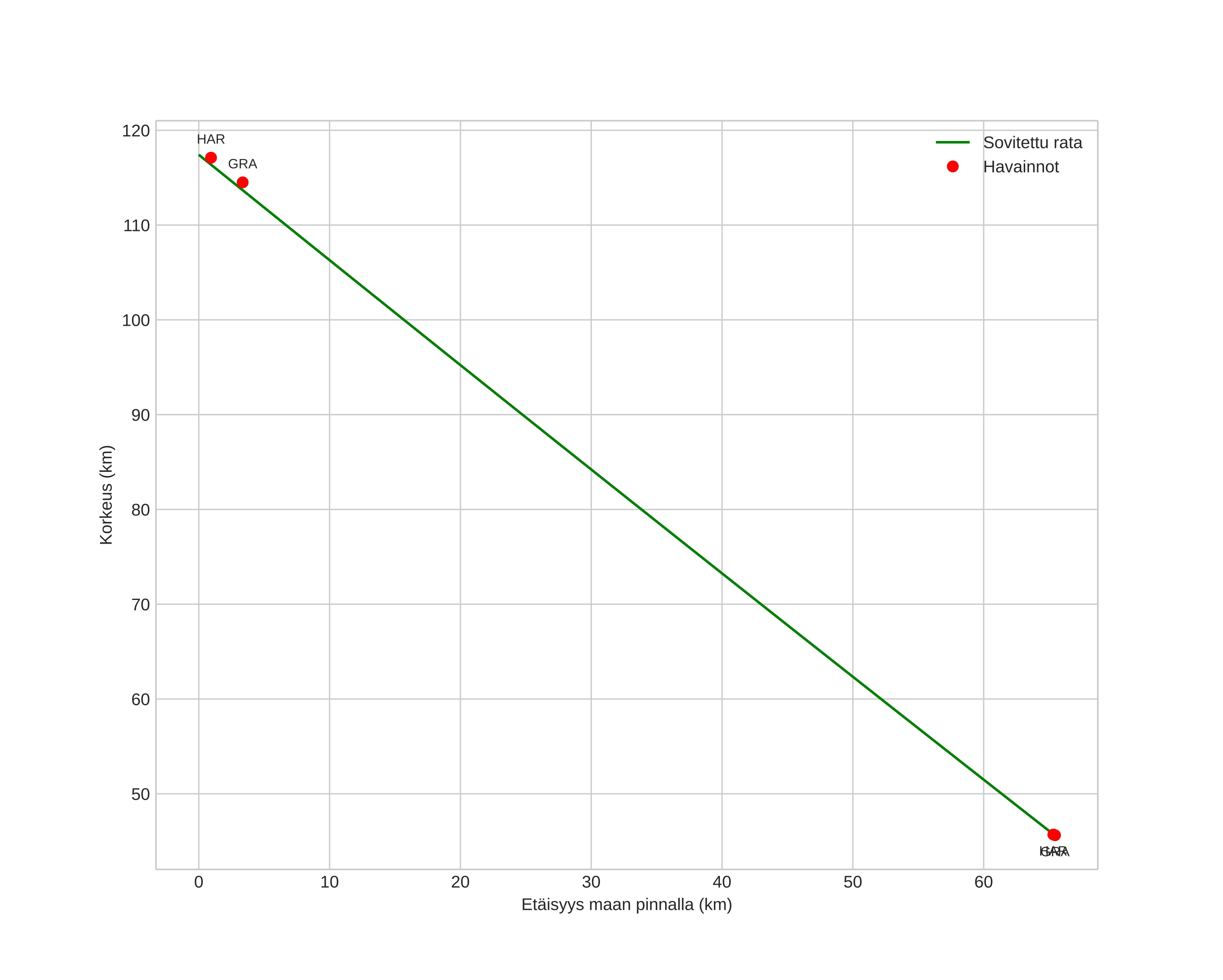
height profile
Meteorin ilmakehärata:
Alkukorkeus: 117,4 km
Loppukorkeus: 45,6 km
Alkupiste: 62,096N 8,322E
Loppupiste: 61,675N 9,195E
Suunta: 135,3°
Kallistuskulma: 47,7°
Tulonopeus: 50,6 km/s
Radiantin R,A,: 15:29 (232,5°)
Radiantin Dekl,: 60,8°
Meteoriparvi: Sporadinen
Meteoroidin rataelementit:
Perihelietäisyys: 0,983 AU
Eksentrisyys: 1,745
Inklinaatio: 71,7°
Nousevan solmun pituus: 264,6°
Perihelin argumentti: 177,0°
Keskianomalia: 1,2°
Epookki: 2021 DEC 16 15:54:08
orbit plot

Ei-interaktiivinen kuvaaja

position vs time
speed and acceleration