🇳🇴 🇬🇧 🇩🇪 🇨🇿 🇫🇮

Meteor über Vågåmo 2021-12-16 15:54:08 UTC

KML-Datei

Die Karte zeigt die Peilungen für den Meteor. Die helleren Linien zeigen die Richtungen von den Beobachtungsorten beim Erscheinen des Meteors, und die dunkleren Linien, wo er zuletzt gesehen wurde. Der blaue Pfeil zeigt die sichtbare Bahn des Meteors.

static map
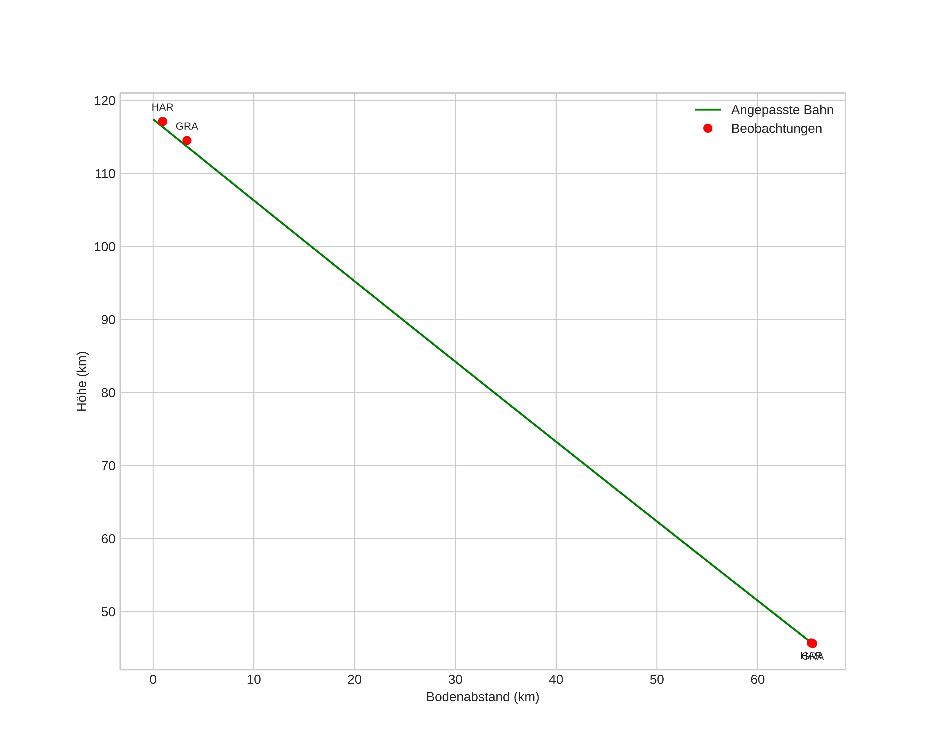
height profile
Atmosphärische Bahn des Meteors:
Anfangshöhe: 117,4 km
Endhöhe: 45,6 km
Startposition: 62,096N 8,322E
Endposition: 61,675N 9,195E
Richtung: 135,3°
Neigungswinkel: 47,7°
Eintrittsgeschwindigkeit: 50,6 km/s
Rektaszension des Radianten: 15:29 (232,5°)
Deklination des Radianten: 60,8°
Meteorstrom: sporadisch
Bahnelemente des Meteoroiden:
Periheldistanz: 0,983 AU
Exzentrizität: 1,745
Inklination: 71,7°
Länge des aufsteigenden Knotens: 264,6°
Argument des Perihels: 177,0°
Mittlere Anomalie: 1,2°
Epoche: 2021 DEC 16 15:54:08
orbit plot

Nicht-interaktives Diagramm

position vs time
speed and acceleration