🇳🇴 🇬🇧 🇩🇪 🇨🇿 🇫🇮

Meteor, poloha: Larkollen 2022-01-04 03:18:30 UTC

Soubor KML  |  InteraktivnĂ­ mapa

Mapa zobrazuje dráhy meteoru. Světlejší čáry ukazují směry od pozorovacích stanic při objevení se meteoru a tmavší čáry, kde byl naposledy viděn. Modrá šipka značí viditelnou dráhu meteoru.

static map
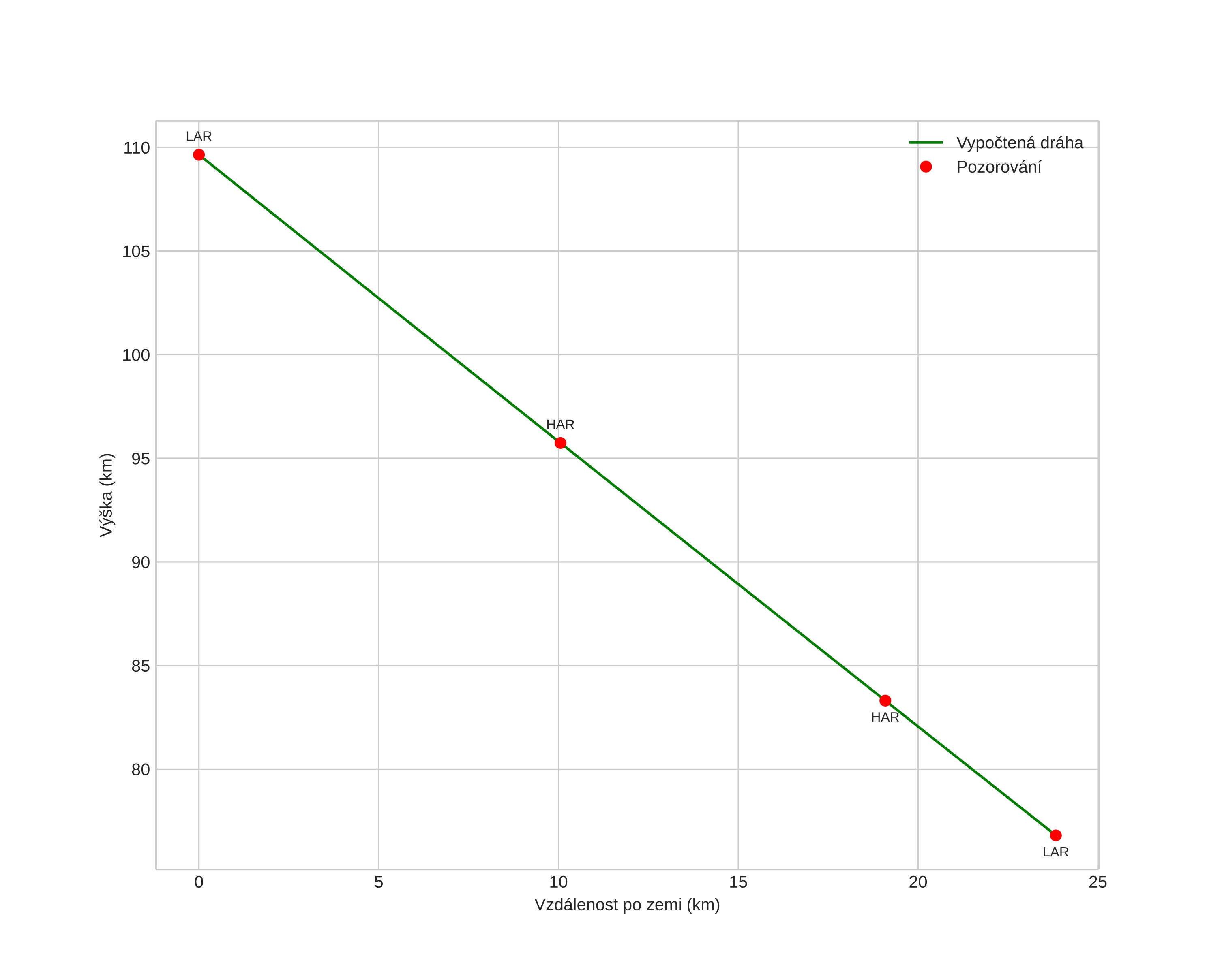
height profile
Atmosférická dráha meteoru:
Počáteční výška: 102,5 km
Konečná výška: 76,5 km
Počáteční poloha: 59,327N 10,998E
Konečná poloha: 59,276N 10,659E
Směr: 253,7°
Sklon: 52,3°
VstupnĂ­ rychlost: 43,2 km/s
Rektascenze radiantu: 15:23 (231,0°)
Deklinace radiantu: 50,0°
MeteorickĂ˝ roj: Kvadrantidy
Elementy dráhy meteoroidu:
Vzdálenost v periheliu: 0,979 AU
Excentricita: 0,738
Sklon dráhy: 71,7°
Délka vzestupného uzlu: 283,4°
Argument perihelia: 172,1°
Střední anomálie: 0,8°
Epocha: 2022 JAN 04 03:18:30
orbit plot

NeinteraktivnĂ­ graf | InteraktivnĂ­ graf

position vs time
speed and acceleration