🇳🇴 🇬🇧 🇩🇪 🇨🇿 🇫🇮

Meteor Larkollenin yllä 2022-01-04 03:18:30 UTC

KML-tiedosto  |  Interaktiivinen kartta

Kartta näyttää meteorin suuntahavainnot. Vaaleammat viivat näyttävät suunnat havaintoasemilta meteorin ilmestyessä, ja tummemmat viivat näyttävät, missä se viimeksi nähtiin. Sininen nuoli näyttää meteorin näkyvän lennon.

static map
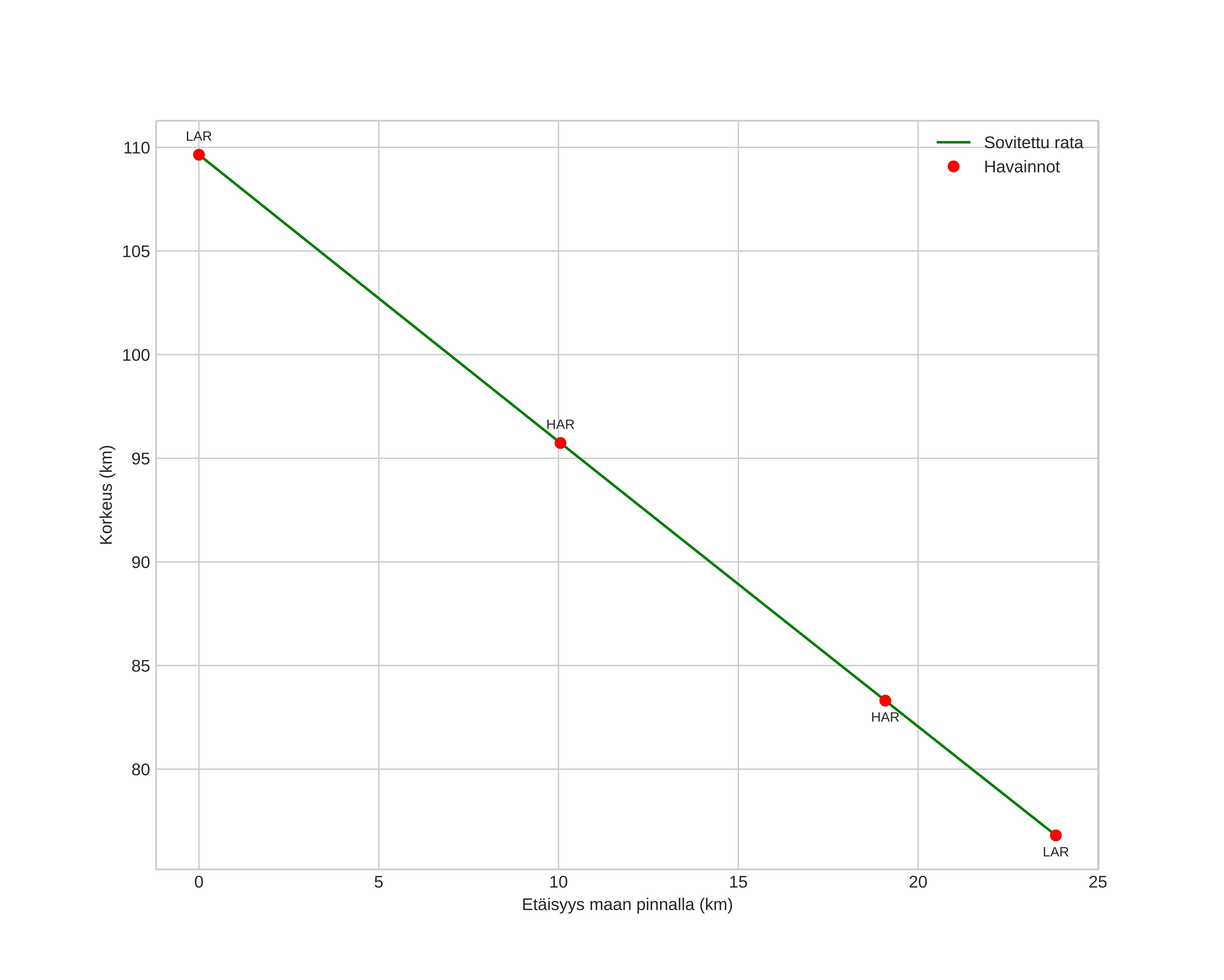
height profile
Meteorin ilmakehärata:
Alkukorkeus: 102,5 km
Loppukorkeus: 76,5 km
Alkupiste: 59,327N 10,998E
Loppupiste: 59,276N 10,659E
Suunta: 253,7°
Kallistuskulma: 52,3°
Tulonopeus: 43,2 km/s
Radiantin R,A,: 15:23 (231,0°)
Radiantin Dekl,: 50,0°
Meteoriparvi: Kvadrantidit
Meteoroidin rataelementit:
Perihelietäisyys: 0,979 AU
Eksentrisyys: 0,738
Inklinaatio: 71,7°
Nousevan solmun pituus: 283,4°
Perihelin argumentti: 172,1°
Keskianomalia: 0,8°
Epookki: 2022 JAN 04 03:18:30
orbit plot

Ei-interaktiivinen kuvaaja | Interaktiivinen kuvaaja

position vs time
speed and acceleration