🇳🇴 🇬🇧 🇩🇪 🇨🇿 🇫🇮

Meteor, poloha: Alvdal 2022-01-06 18:45:19 UTC

Soubor KML  |  InteraktivnĂ­ mapa

Mapa zobrazuje dráhy meteoru. Světlejší čáry ukazují směry od pozorovacích stanic při objevení se meteoru a tmavší čáry, kde byl naposledy viděn. Modrá šipka značí viditelnou dráhu meteoru.

static map
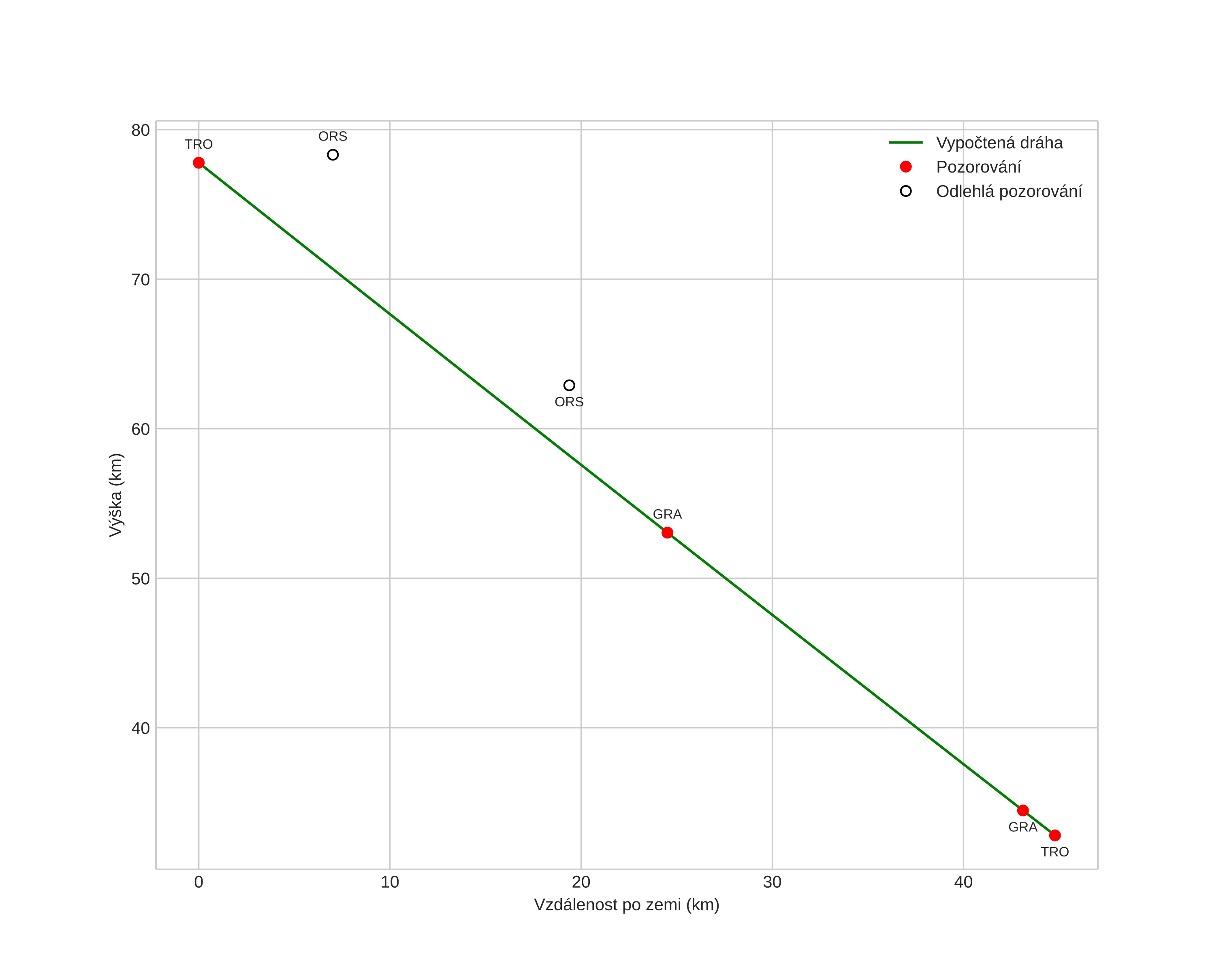
height profile
Atmosférická dráha meteoru:
Počáteční výška: 77,6 km
Konečná výška: 28,3 km
Počáteční poloha: 62,512N 9,645E
Konečná poloha: 62,379N 10,496E
Směr: 108,2°
Sklon: 46,9°
VstupnĂ­ rychlost: 15,2 km/s
Rektascenze radiantu: 20:49 (312,4°)
Deklinace radiantu: 40,9°
MeteorickĂ˝ roj: sporadickĂ˝
Elementy dráhy meteoroidu:
Vzdálenost v periheliu: 0,963 AU
Excentricita: 0,452
Sklon dráhy: 14,1°
Délka vzestupného uzlu: 286,1°
Argument perihelia: 159,0°
Střední anomálie: 7,2°
Epocha: 2022 JAN 06 18:45:19
orbit plot

NeinteraktivnĂ­ graf | InteraktivnĂ­ graf

position vs time
speed and acceleration