🇳🇴 🇬🇧 🇩🇪 🇨🇿 🇫🇮

Meteor Alvdalin yllä 2022-01-06 18:45:19 UTC

KML-tiedosto  |  Interaktiivinen kartta

Kartta näyttää meteorin suuntahavainnot. Vaaleammat viivat näyttävät suunnat havaintoasemilta meteorin ilmestyessä, ja tummemmat viivat näyttävät, missä se viimeksi nähtiin. Sininen nuoli näyttää meteorin näkyvän lennon.

static map
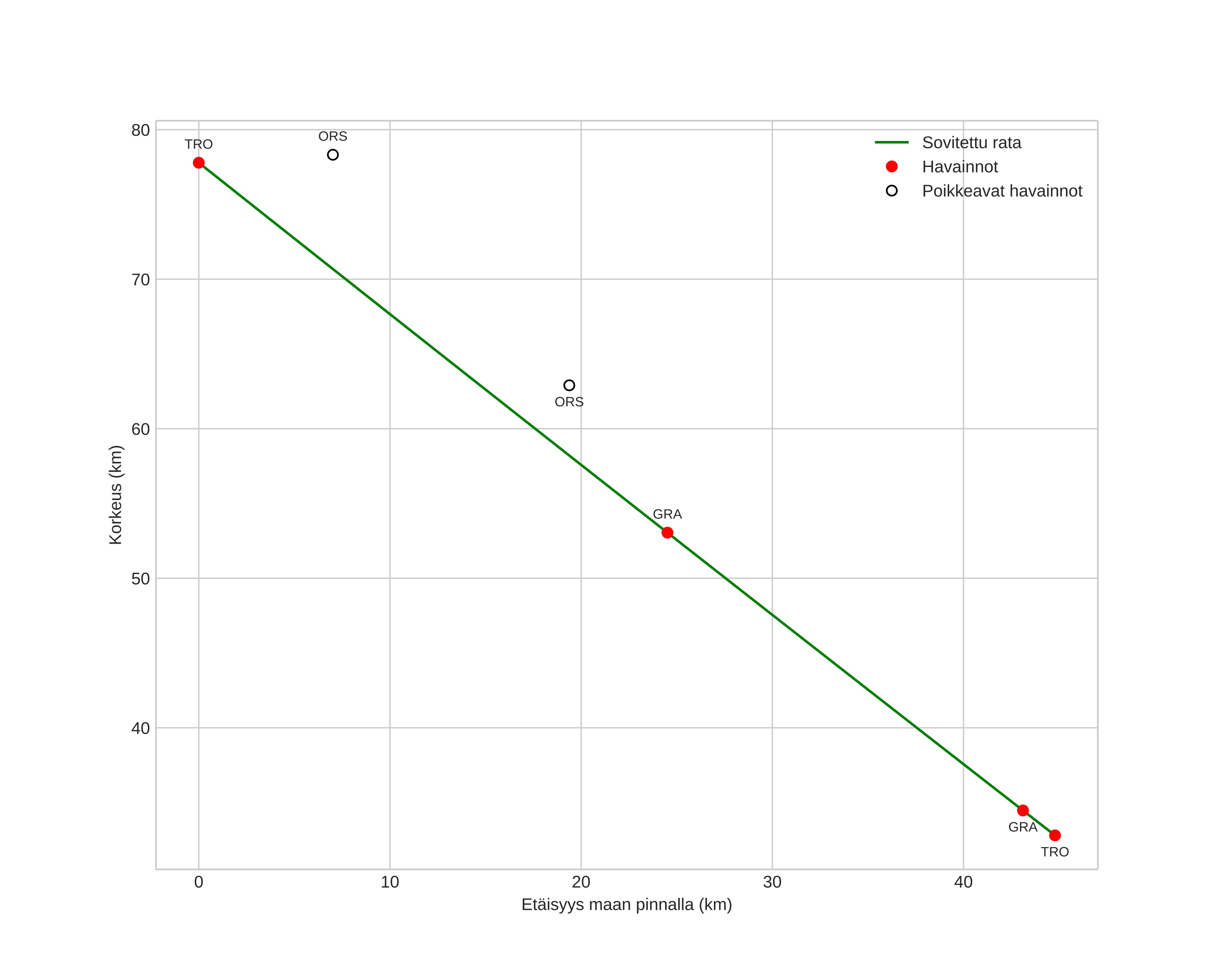
height profile
Meteorin ilmakehärata:
Alkukorkeus: 77,6 km
Loppukorkeus: 28,3 km
Alkupiste: 62,512N 9,645E
Loppupiste: 62,379N 10,496E
Suunta: 108,2°
Kallistuskulma: 46,9°
Tulonopeus: 15,2 km/s
Radiantin R,A,: 20:49 (312,4°)
Radiantin Dekl,: 40,9°
Meteoriparvi: Sporadinen
Meteoroidin rataelementit:
Perihelietäisyys: 0,963 AU
Eksentrisyys: 0,452
Inklinaatio: 14,1°
Nousevan solmun pituus: 286,1°
Perihelin argumentti: 159,0°
Keskianomalia: 7,2°
Epookki: 2022 JAN 06 18:45:19
orbit plot

Ei-interaktiivinen kuvaaja | Interaktiivinen kuvaaja

position vs time
speed and acceleration