🇳🇴 🇬🇧 🇩🇪 🇨🇿 🇫🇮

Meteor über Alvdal 2022-01-06 18:45:19 UTC

KML-Datei  |  Interaktive Karte

Die Karte zeigt die Peilungen für den Meteor. Die helleren Linien zeigen die Richtungen von den Beobachtungsorten beim Erscheinen des Meteors, und die dunkleren Linien, wo er zuletzt gesehen wurde. Der blaue Pfeil zeigt die sichtbare Bahn des Meteors.

static map
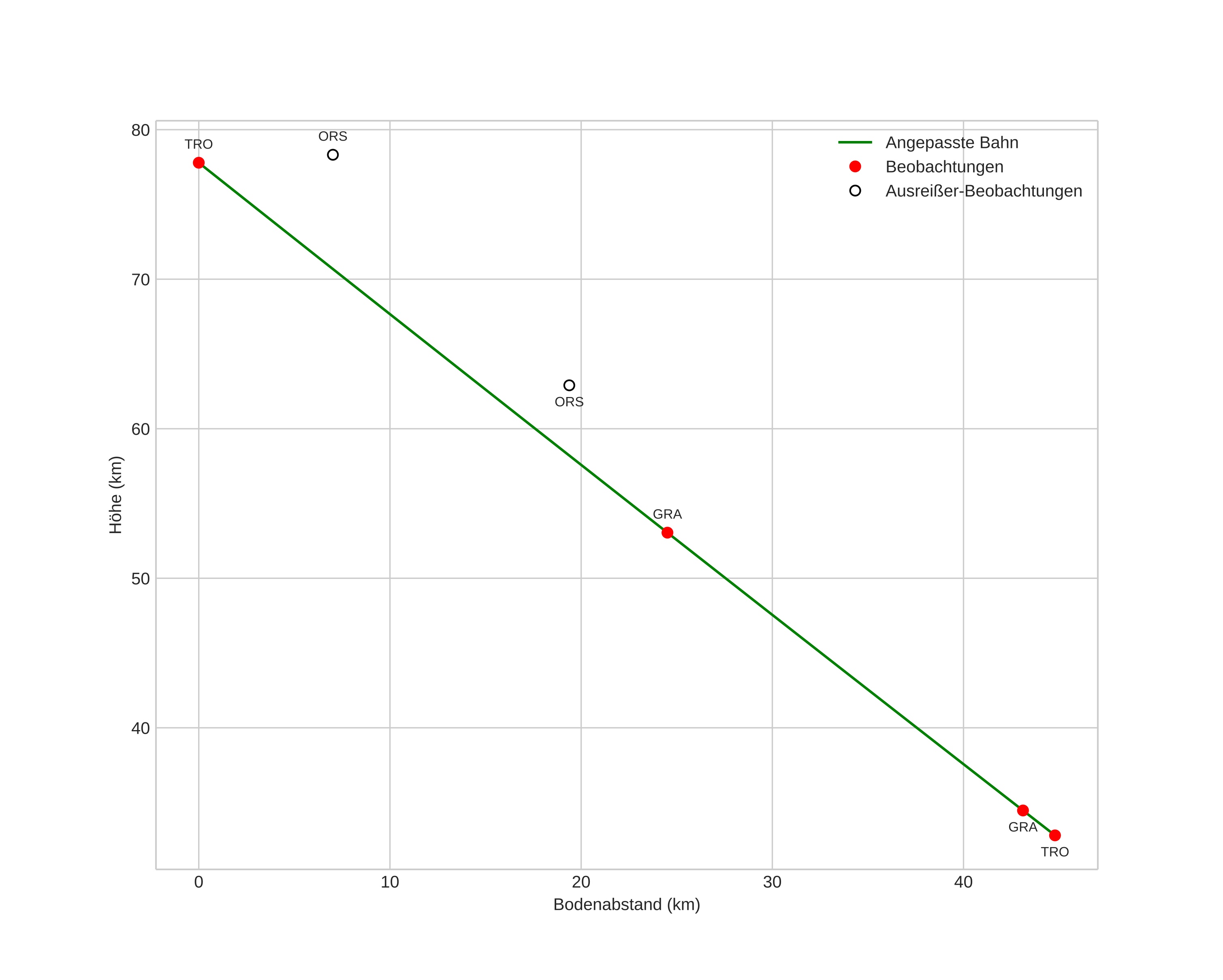
height profile
Atmosphärische Bahn des Meteors:
Anfangshöhe: 77,6 km
Endhöhe: 28,3 km
Startposition: 62,512N 9,645E
Endposition: 62,379N 10,496E
Richtung: 108,2°
Neigungswinkel: 46,9°
Eintrittsgeschwindigkeit: 15,2 km/s
Rektaszension des Radianten: 20:49 (312,4°)
Deklination des Radianten: 40,9°
Meteorstrom: sporadisch
Bahnelemente des Meteoroiden:
Periheldistanz: 0,963 AU
Exzentrizität: 0,452
Inklination: 14,1°
Länge des aufsteigenden Knotens: 286,1°
Argument des Perihels: 159,0°
Mittlere Anomalie: 7,2°
Epoche: 2022 JAN 06 18:45:19
orbit plot

Nicht-interaktives Diagramm | Interaktives Diagramm

position vs time
speed and acceleration