🇳🇴 🇬🇧 🇩🇪 🇨🇿 🇫🇮

Meteor, poloha: Skinnskatteberg 2022-01-20 05:16:57 UTC

Soubor KML  |  InteraktivnĂ­ mapa

Mapa zobrazuje dráhy meteoru. Světlejší čáry ukazují směry od pozorovacích stanic při objevení se meteoru a tmavší čáry, kde byl naposledy viděn. Modrá šipka značí viditelnou dráhu meteoru.

static map
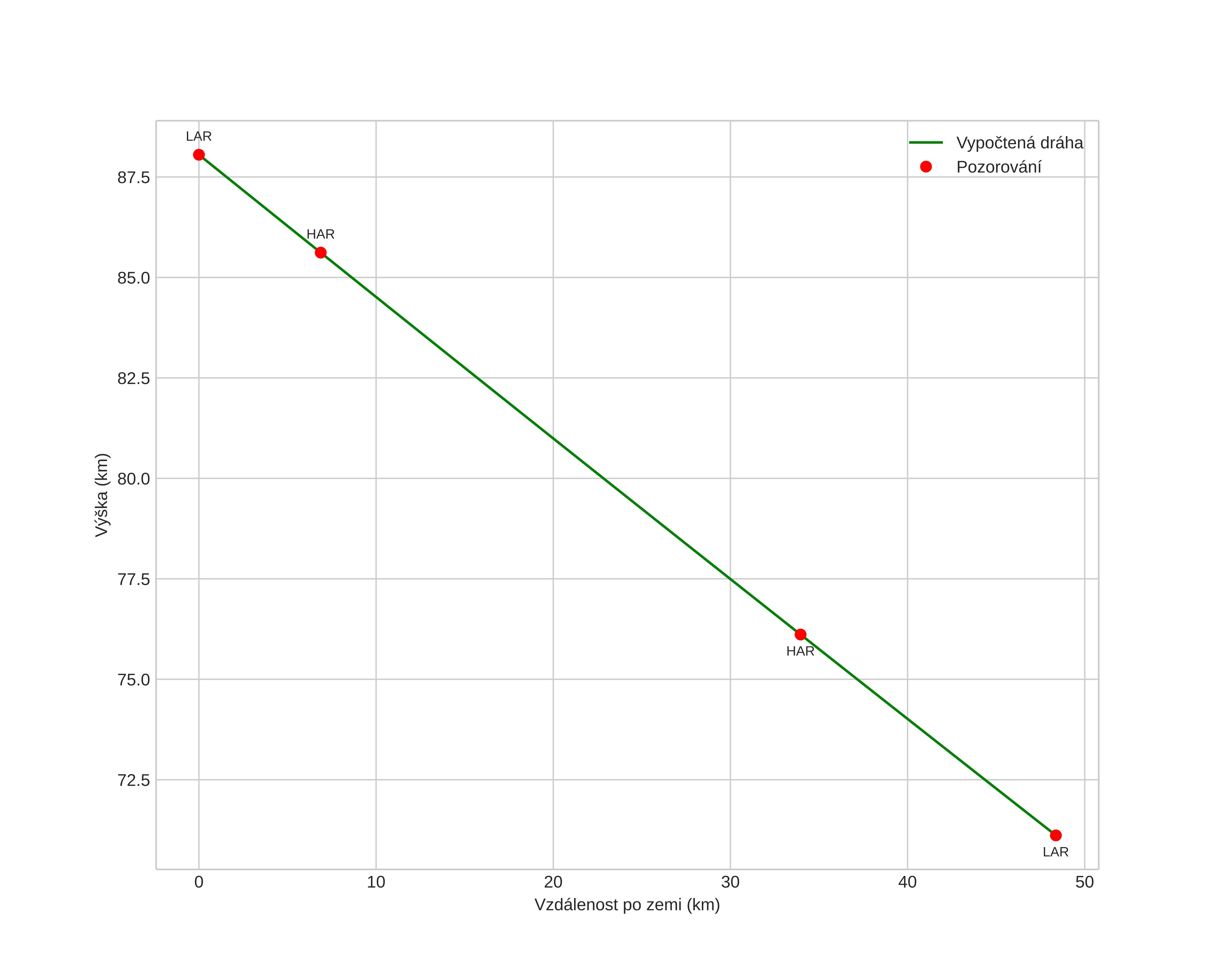
height profile
Atmosférická dráha meteoru:
Počáteční výška: 88,7 km
Konečná výška: 72,2 km
Počáteční poloha: 60,070N 14,690E
Konečná poloha: 59,933N 15,525E
Směr: 107,8°
Sklon: 18,7°
VstupnĂ­ rychlost: 23,2 km/s
Rektascenze radiantu: 07:37 (114,5°)
Deklinace radiantu: 20,2°
MeteorickĂ˝ roj: sporadickĂ˝
Elementy dráhy meteoroidu:
Vzdálenost v periheliu: 0,665 AU
Excentricita: 0,760
Sklon dráhy: 0,8°
Délka vzestupného uzlu: 120,0°
Argument perihelia: 75,4°
Střední anomálie: 351,1°
Epocha: 2022 JAN 20 05:16:57
orbit plot

NeinteraktivnĂ­ graf | InteraktivnĂ­ graf

position vs time
speed and acceleration