🇳🇴 🇬🇧 🇩🇪 🇨🇿 🇫🇮

Meteor Skinnskattebergin yllä 2022-01-20 05:16:57 UTC

KML-tiedosto  |  Interaktiivinen kartta

Kartta näyttää meteorin suuntahavainnot. Vaaleammat viivat näyttävät suunnat havaintoasemilta meteorin ilmestyessä, ja tummemmat viivat näyttävät, missä se viimeksi nähtiin. Sininen nuoli näyttää meteorin näkyvän lennon.

static map
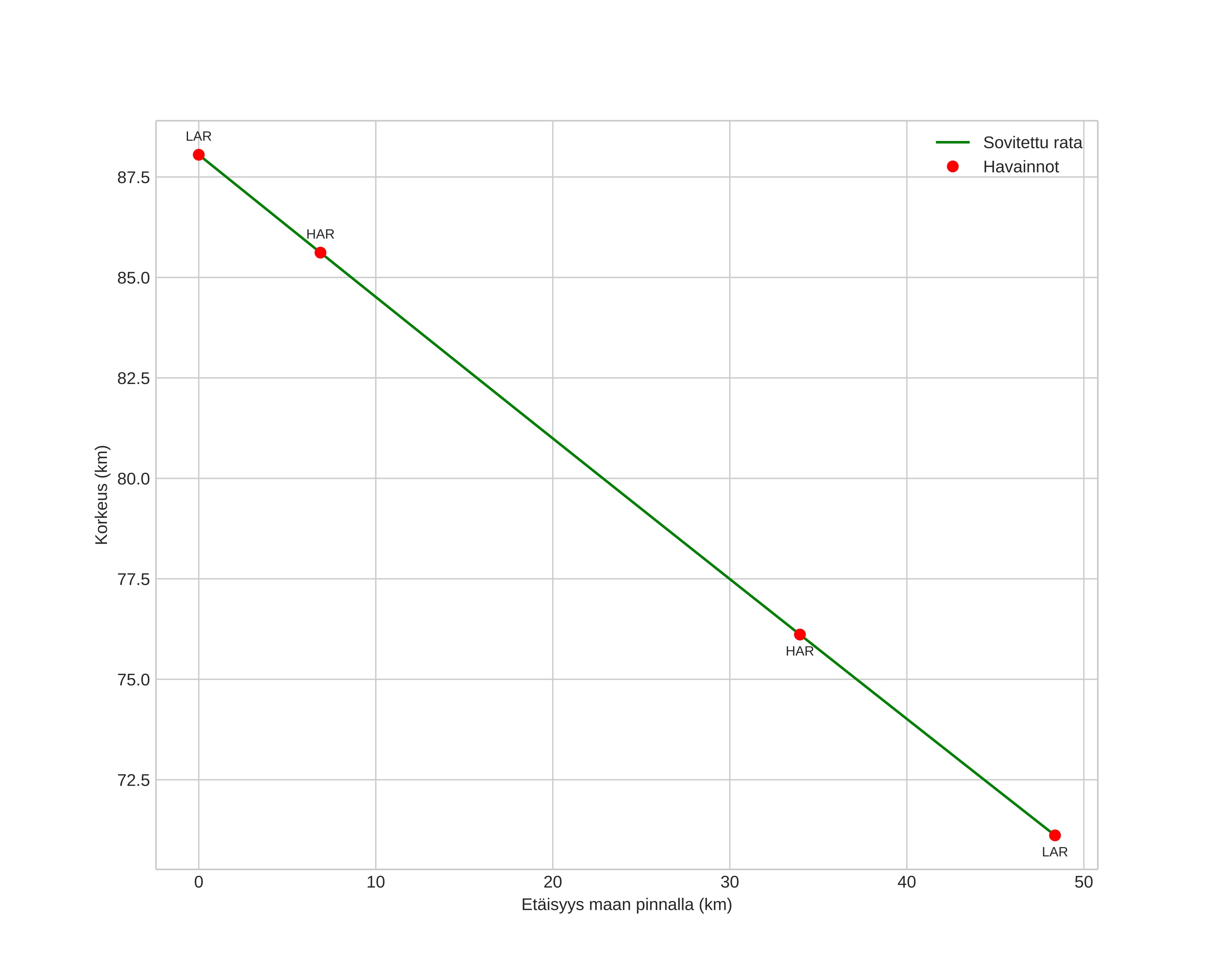
height profile
Meteorin ilmakehärata:
Alkukorkeus: 88,7 km
Loppukorkeus: 72,2 km
Alkupiste: 60,070N 14,690E
Loppupiste: 59,933N 15,525E
Suunta: 107,8°
Kallistuskulma: 18,7°
Tulonopeus: 23,2 km/s
Radiantin R,A,: 07:37 (114,5°)
Radiantin Dekl,: 20,2°
Meteoriparvi: Sporadinen
Meteoroidin rataelementit:
Perihelietäisyys: 0,665 AU
Eksentrisyys: 0,760
Inklinaatio: 0,8°
Nousevan solmun pituus: 120,0°
Perihelin argumentti: 75,4°
Keskianomalia: 351,1°
Epookki: 2022 JAN 20 05:16:57
orbit plot

Ei-interaktiivinen kuvaaja | Interaktiivinen kuvaaja

position vs time
speed and acceleration