🇳🇴 🇬🇧 🇩🇪 🇨🇿 🇫🇮

Meteor über Skinnskatteberg 2022-01-20 05:16:57 UTC

KML-Datei  |  Interaktive Karte

Die Karte zeigt die Peilungen für den Meteor. Die helleren Linien zeigen die Richtungen von den Beobachtungsorten beim Erscheinen des Meteors, und die dunkleren Linien, wo er zuletzt gesehen wurde. Der blaue Pfeil zeigt die sichtbare Bahn des Meteors.

static map
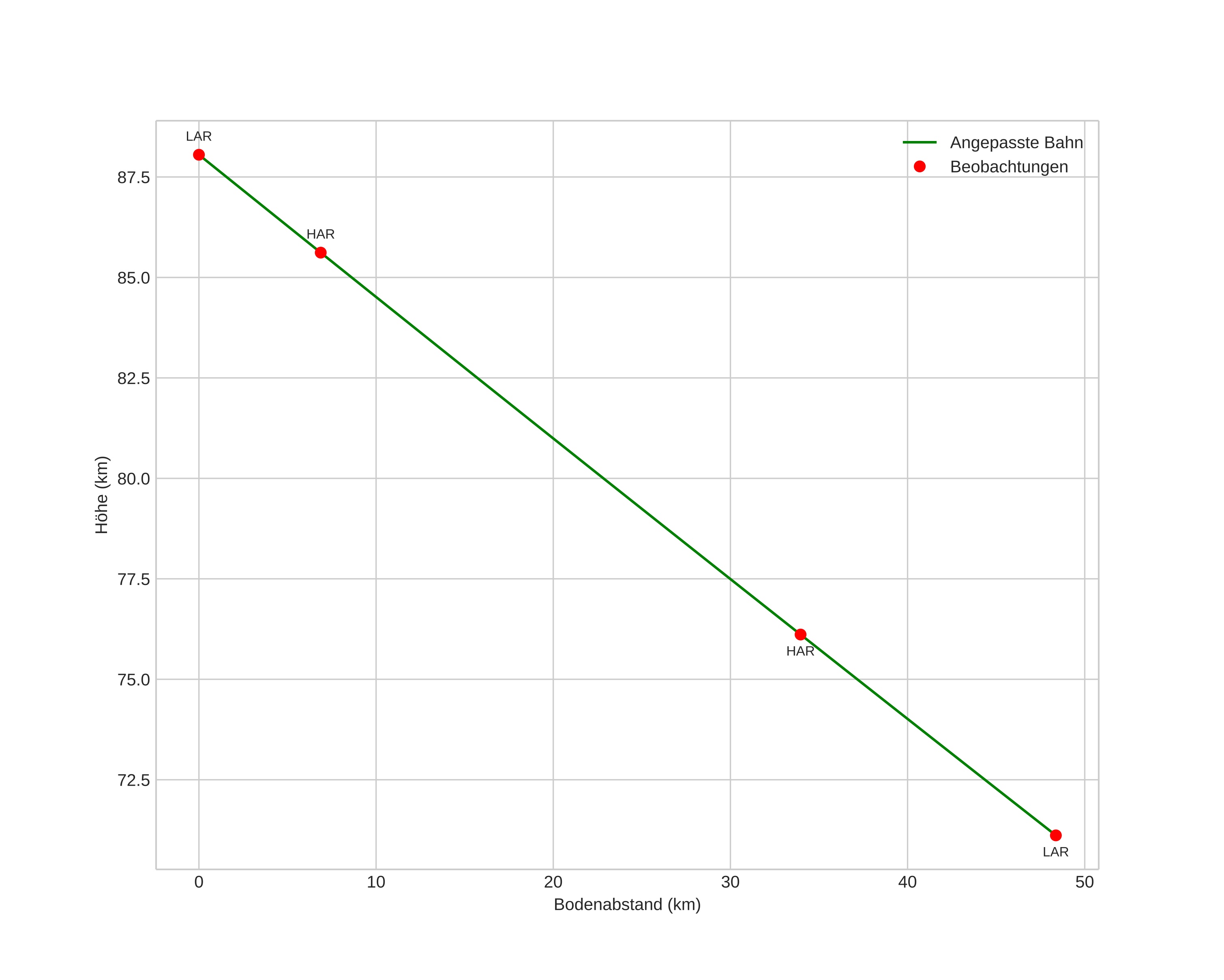
height profile
Atmosphärische Bahn des Meteors:
Anfangshöhe: 88,7 km
Endhöhe: 72,2 km
Startposition: 60,070N 14,690E
Endposition: 59,933N 15,525E
Richtung: 107,8°
Neigungswinkel: 18,7°
Eintrittsgeschwindigkeit: 23,2 km/s
Rektaszension des Radianten: 07:37 (114,5°)
Deklination des Radianten: 20,2°
Meteorstrom: sporadisch
Bahnelemente des Meteoroiden:
Periheldistanz: 0,665 AU
Exzentrizität: 0,760
Inklination: 0,8°
Länge des aufsteigenden Knotens: 120,0°
Argument des Perihels: 75,4°
Mittlere Anomalie: 351,1°
Epoche: 2022 JAN 20 05:16:57
orbit plot

Nicht-interaktives Diagramm | Interaktives Diagramm

position vs time
speed and acceleration