🇳🇴 🇬🇧 🇩🇪 🇨🇿 🇫🇮

Meteor, poloha: Moelv 2022-02-26 01:32:46 UTC

Soubor KML  |  InteraktivnĂ­ mapa

Mapa zobrazuje dráhy meteoru. Světlejší čáry ukazují směry od pozorovacích stanic při objevení se meteoru a tmavší čáry, kde byl naposledy viděn. Modrá šipka značí viditelnou dráhu meteoru.

static map
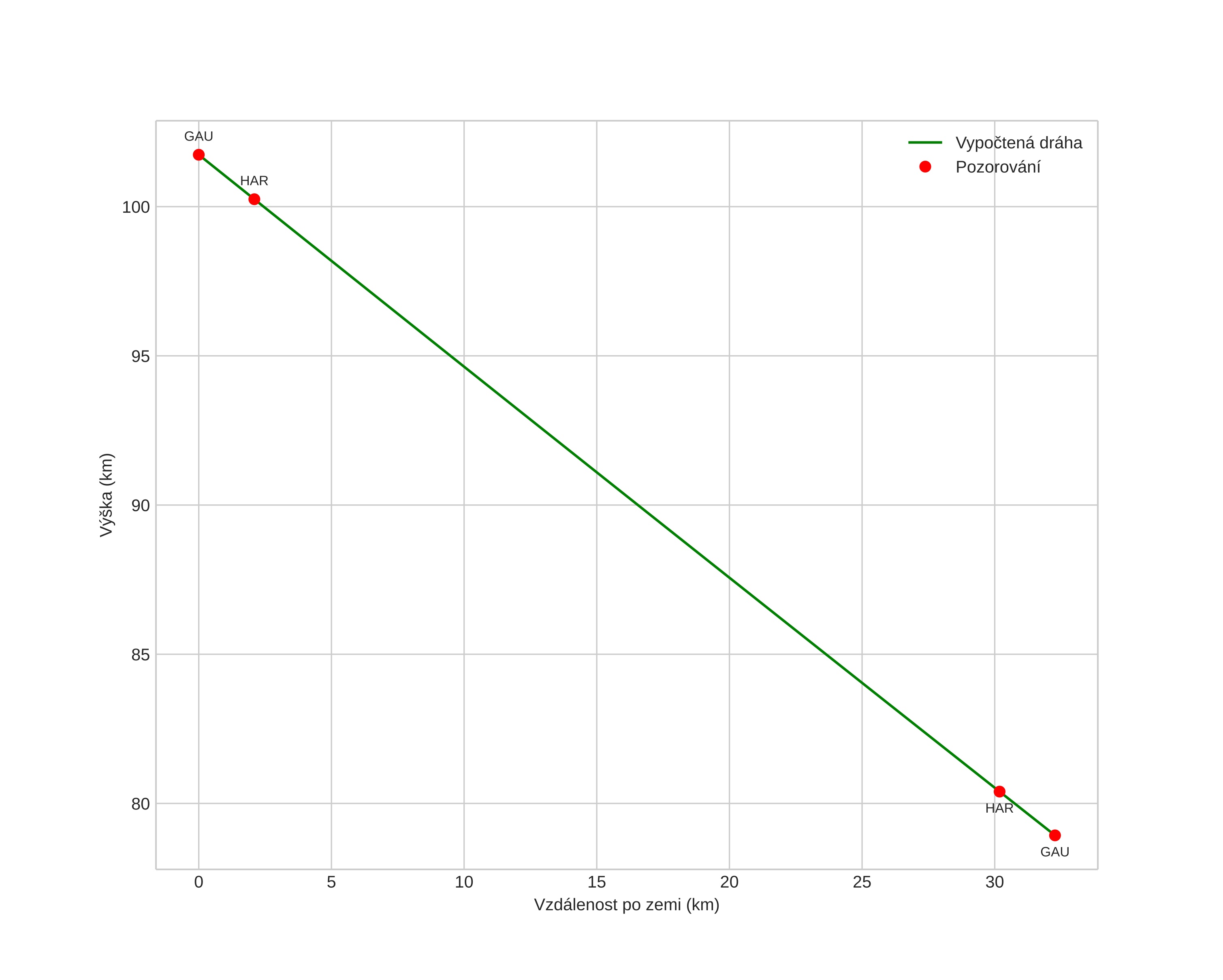
height profile
Atmosférická dráha meteoru:
Počáteční výška: 102,5 km
Konečná výška: 79,1 km
Počáteční poloha: 60,899N 10,656E
Konečná poloha: 61,190N 10,835E
Směr: 16,5°
Sklon: 34,7°
VstupnĂ­ rychlost: 42,1 km/s
Rektascenze radiantu: 11:41 (175,4°)
Deklinace radiantu: 5,6°
MeteorickĂ˝ roj: sporadickĂ˝
Elementy dráhy meteoroidu:
Vzdálenost v periheliu: 0,193 AU
Excentricita: 1,010
Sklon dráhy: 7,1°
Délka vzestupného uzlu: 337,1°
Argument perihelia: 307,0°
Střední anomálie: -0,4°
Epocha: 2022 FEB 26 01:32:46
orbit plot

NeinteraktivnĂ­ graf | InteraktivnĂ­ graf

position vs time
speed and acceleration

Harestua (HAR) cam2

gnomonic
Videa
Obrázky
• Původní
Textové soubory
• Detekce
• Pozorování
• Souřadnice
• Chybová hlášení
• Protokol
Jasnost