🇳🇴 🇬🇧 🇩🇪 🇨🇿 🇫🇮

Meteor über Moelv 2022-02-26 01:32:46 UTC

KML-Datei  |  Interaktive Karte

Die Karte zeigt die Peilungen für den Meteor. Die helleren Linien zeigen die Richtungen von den Beobachtungsorten beim Erscheinen des Meteors, und die dunkleren Linien, wo er zuletzt gesehen wurde. Der blaue Pfeil zeigt die sichtbare Bahn des Meteors.

static map
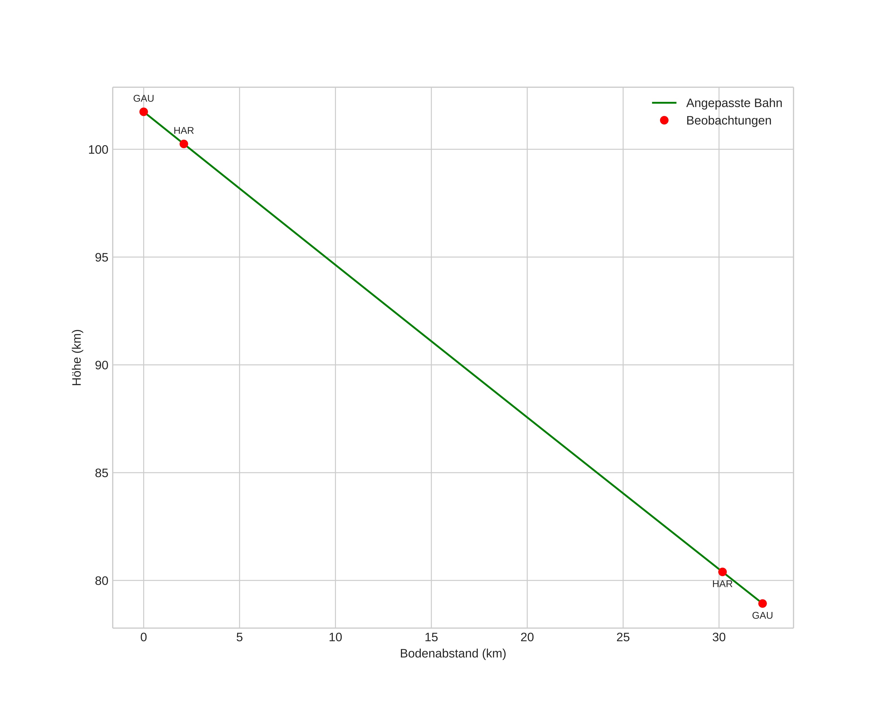
height profile
Atmosphärische Bahn des Meteors:
Anfangshöhe: 102,5 km
Endhöhe: 79,1 km
Startposition: 60,899N 10,656E
Endposition: 61,190N 10,835E
Richtung: 16,5°
Neigungswinkel: 34,7°
Eintrittsgeschwindigkeit: 42,1 km/s
Rektaszension des Radianten: 11:41 (175,4°)
Deklination des Radianten: 5,6°
Meteorstrom: sporadisch
Bahnelemente des Meteoroiden:
Periheldistanz: 0,193 AU
Exzentrizität: 1,010
Inklination: 7,1°
Länge des aufsteigenden Knotens: 337,1°
Argument des Perihels: 307,0°
Mittlere Anomalie: -0,4°
Epoche: 2022 FEB 26 01:32:46
orbit plot

Nicht-interaktives Diagramm | Interaktives Diagramm

position vs time
speed and acceleration

Harestua (HAR) cam2

gnomonic
Videos
Bilder
• Original
Textdateien
• Erkennung
• Beobachtung
• Koordinaten
• Fehlermeldungen
• Protokoll
Helligkeit