🇳🇴 🇬🇧 🇩🇪 🇨🇿 🇫🇮

Meteor Moelvin yllä 2022-02-26 01:32:46 UTC

KML-tiedosto  |  Interaktiivinen kartta

Kartta näyttää meteorin suuntahavainnot. Vaaleammat viivat näyttävät suunnat havaintoasemilta meteorin ilmestyessä, ja tummemmat viivat näyttävät, missä se viimeksi nähtiin. Sininen nuoli näyttää meteorin näkyvän lennon.

static map
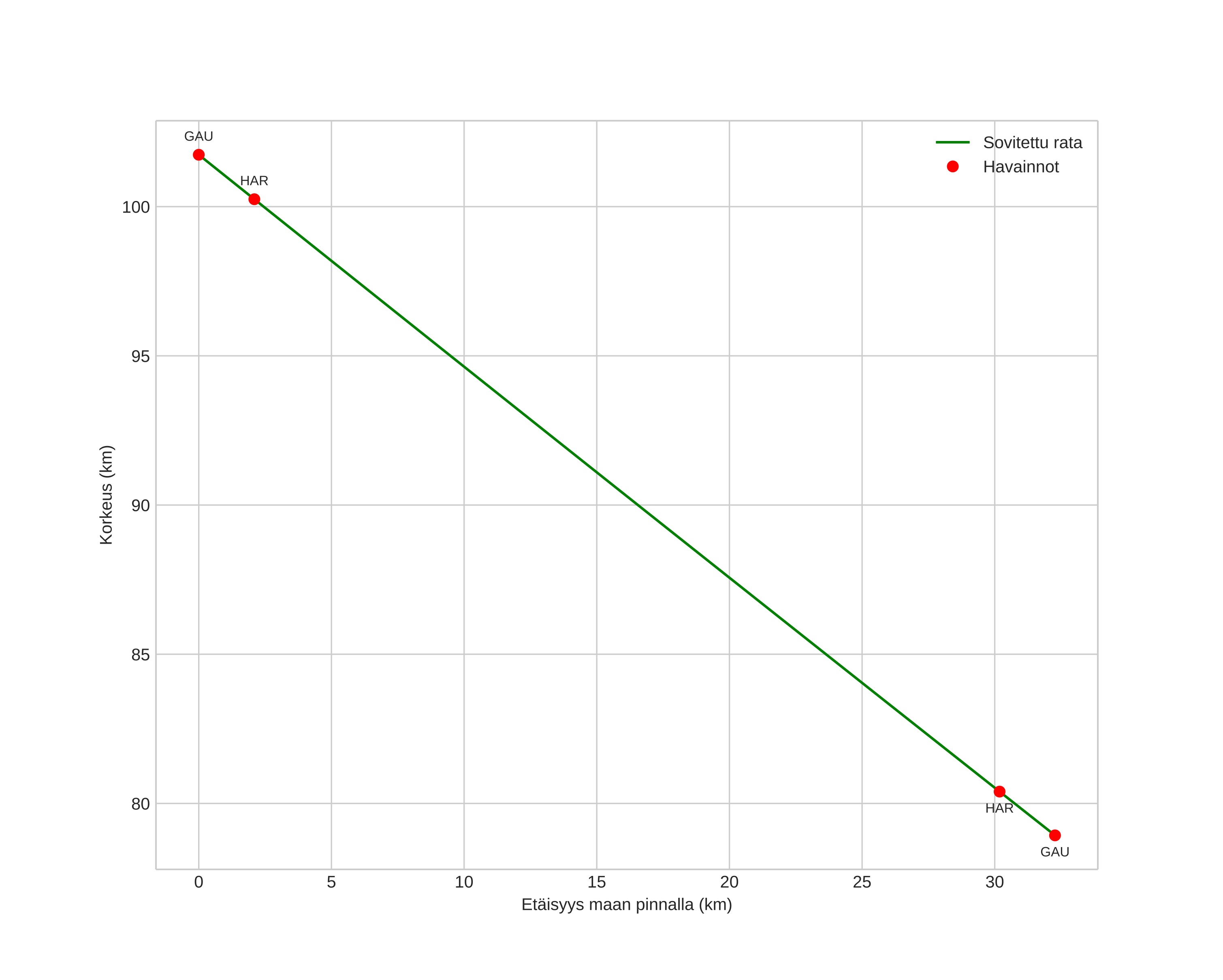
height profile
Meteorin ilmakehärata:
Alkukorkeus: 102,5 km
Loppukorkeus: 79,1 km
Alkupiste: 60,899N 10,656E
Loppupiste: 61,190N 10,835E
Suunta: 16,5°
Kallistuskulma: 34,7°
Tulonopeus: 42,1 km/s
Radiantin R,A,: 11:41 (175,4°)
Radiantin Dekl,: 5,6°
Meteoriparvi: Sporadinen
Meteoroidin rataelementit:
Perihelietäisyys: 0,193 AU
Eksentrisyys: 1,010
Inklinaatio: 7,1°
Nousevan solmun pituus: 337,1°
Perihelin argumentti: 307,0°
Keskianomalia: -0,4°
Epookki: 2022 FEB 26 01:32:46
orbit plot

Ei-interaktiivinen kuvaaja | Interaktiivinen kuvaaja

position vs time
speed and acceleration

Harestua (HAR) cam2

gnomonic
Videot:
Kuvat:
• Alkuperäinen
Tekstitiedostot:
• Havaintoraportti
• Observaatio
• Koordinaatit
• Virheilmoitukset
• Loki
Kirkkaus