🇳🇴 🇬🇧 🇩🇪 🇨🇿 🇫🇮

Meteor, poloha: Knappstad 2022-03-24 21:44:58 UTC

Soubor KML  |  InteraktivnĂ­ mapa

Mapa zobrazuje dráhy meteoru. Světlejší čáry ukazují směry od pozorovacích stanic při objevení se meteoru a tmavší čáry, kde byl naposledy viděn. Modrá šipka značí viditelnou dráhu meteoru.

static map
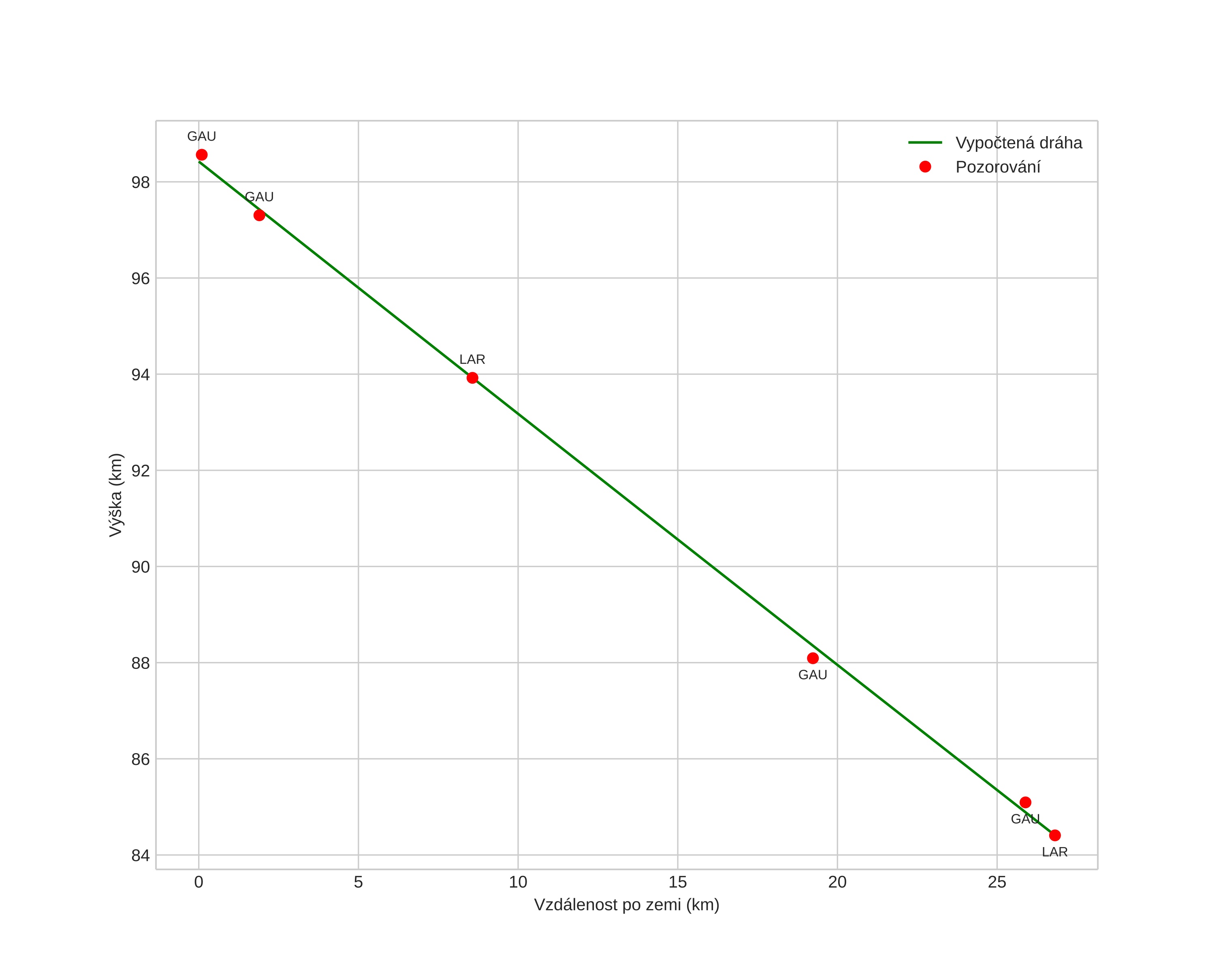
height profile
Atmosférická dráha meteoru:
Počáteční výška: 98,9 km
Konečná výška: 84,7 km
Počáteční poloha: 59,422N 11,180E
Konečná poloha: 59,656N 11,041E
Směr: 343,3°
Sklon: 27,6°
VstupnĂ­ rychlost: 24,0 km/s
Rektascenze radiantu: 11:36 (174,2°)
Deklinace radiantu: -6,0°
MeteorickĂ˝ roj: sporadickĂ˝
Elementy dráhy meteoroidu:
Vzdálenost v periheliu: 0,670 AU
Excentricita: 0,768
Sklon dráhy: 5,1°
Délka vzestupného uzlu: 183,9°
Argument perihelia: 75,9°
Střední anomálie: 351,5°
Epocha: 2022 MAR 24 21:44:58
orbit plot

NeinteraktivnĂ­ graf | InteraktivnĂ­ graf

position vs time
speed and acceleration