🇳🇴 🇬🇧 🇩🇪 🇨🇿 🇫🇮

Meteor Knappstadin yllä 2022-03-24 21:44:58 UTC

KML-tiedosto  |  Interaktiivinen kartta

Kartta näyttää meteorin suuntahavainnot. Vaaleammat viivat näyttävät suunnat havaintoasemilta meteorin ilmestyessä, ja tummemmat viivat näyttävät, missä se viimeksi nähtiin. Sininen nuoli näyttää meteorin näkyvän lennon.

static map
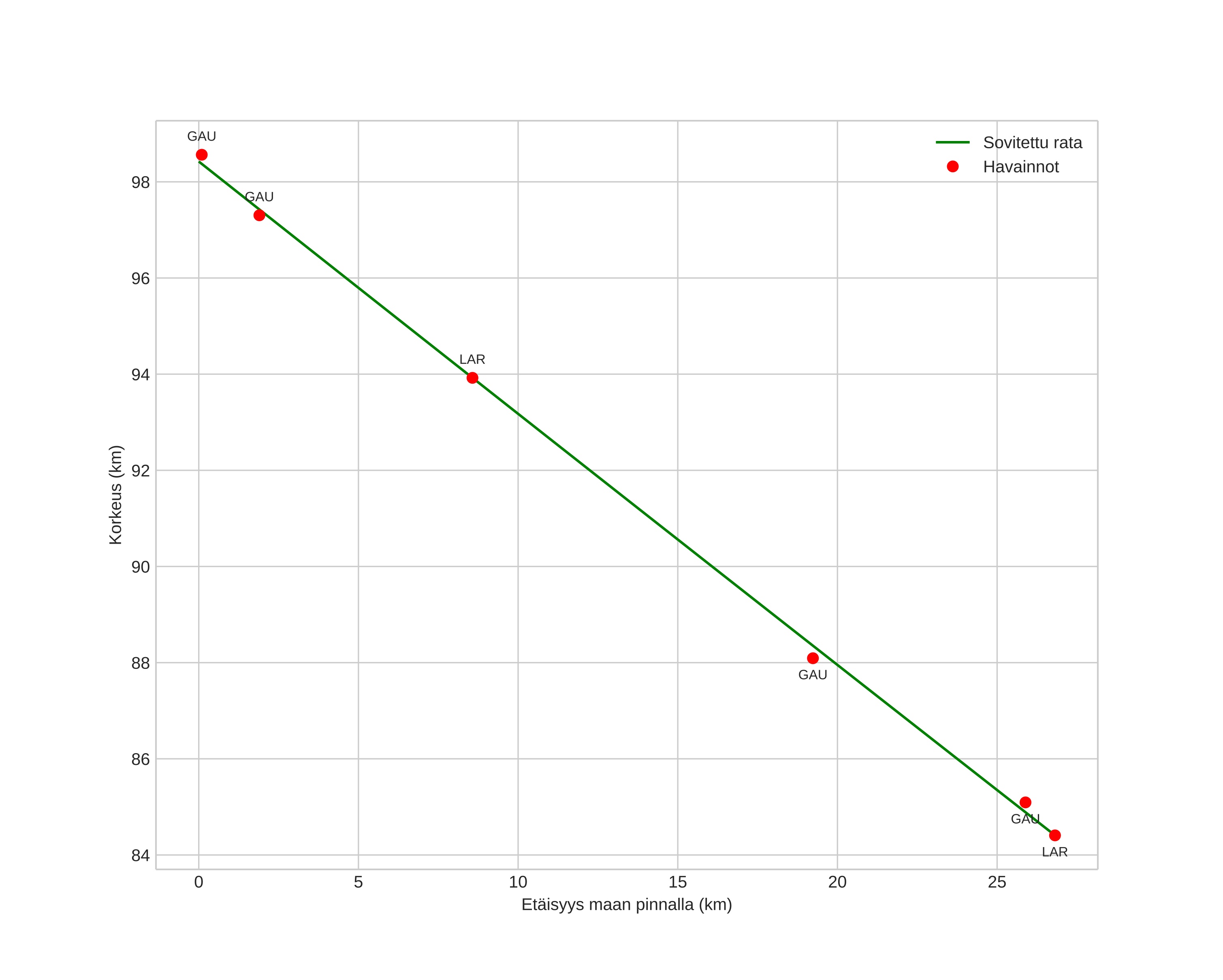
height profile
Meteorin ilmakehärata:
Alkukorkeus: 98,9 km
Loppukorkeus: 84,7 km
Alkupiste: 59,422N 11,180E
Loppupiste: 59,656N 11,041E
Suunta: 343,3°
Kallistuskulma: 27,6°
Tulonopeus: 24,0 km/s
Radiantin R,A,: 11:36 (174,2°)
Radiantin Dekl,: -6,0°
Meteoriparvi: Sporadinen
Meteoroidin rataelementit:
Perihelietäisyys: 0,670 AU
Eksentrisyys: 0,768
Inklinaatio: 5,1°
Nousevan solmun pituus: 183,9°
Perihelin argumentti: 75,9°
Keskianomalia: 351,5°
Epookki: 2022 MAR 24 21:44:58
orbit plot

Ei-interaktiivinen kuvaaja | Interaktiivinen kuvaaja

position vs time
speed and acceleration