🇳🇴 🇬🇧 🇩🇪 🇨🇿 🇫🇮

Meteor über Knappstad 2022-03-24 21:44:58 UTC

KML-Datei  |  Interaktive Karte

Die Karte zeigt die Peilungen für den Meteor. Die helleren Linien zeigen die Richtungen von den Beobachtungsorten beim Erscheinen des Meteors, und die dunkleren Linien, wo er zuletzt gesehen wurde. Der blaue Pfeil zeigt die sichtbare Bahn des Meteors.

static map
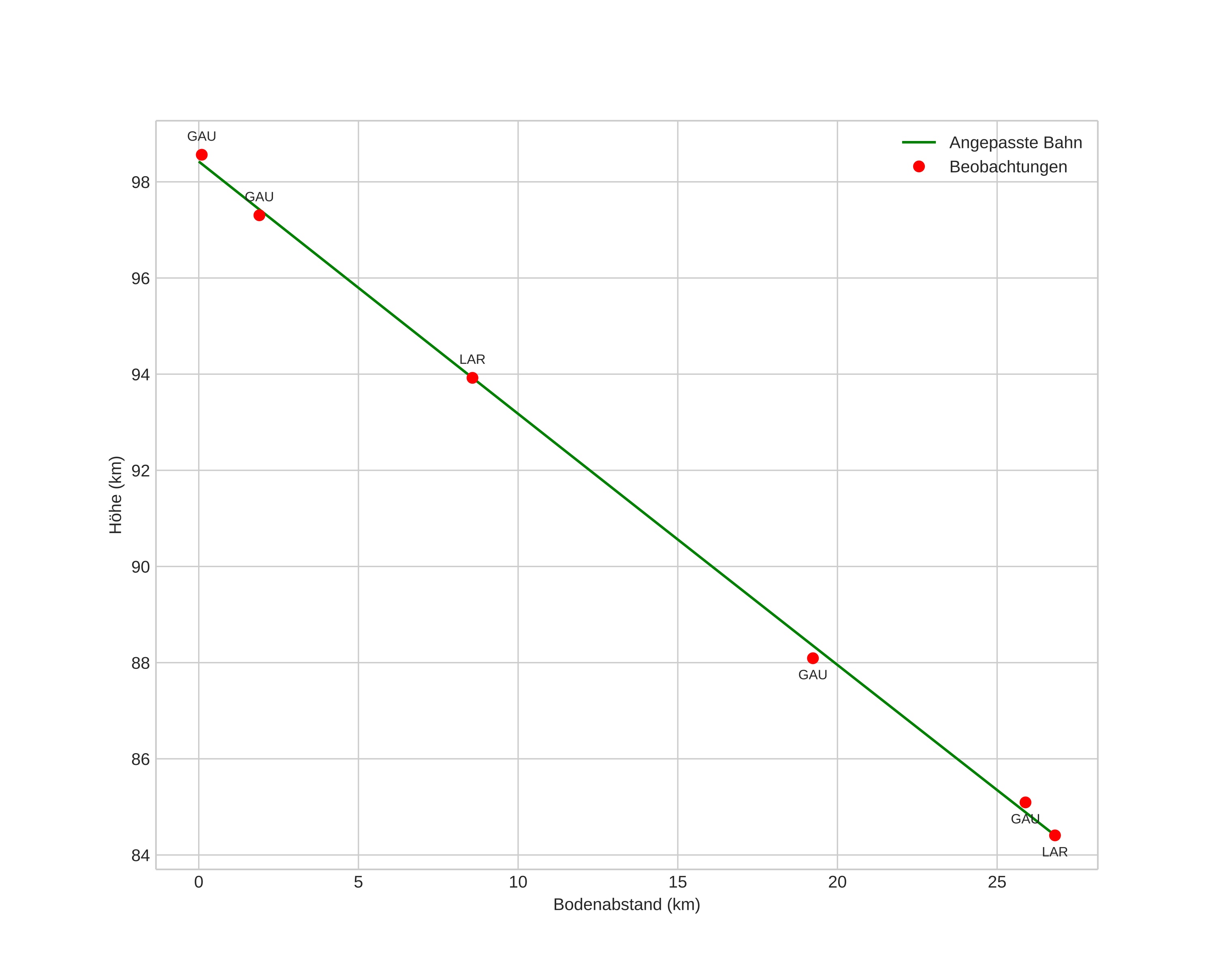
height profile
Atmosphärische Bahn des Meteors:
Anfangshöhe: 98,9 km
Endhöhe: 84,7 km
Startposition: 59,422N 11,180E
Endposition: 59,656N 11,041E
Richtung: 343,3°
Neigungswinkel: 27,6°
Eintrittsgeschwindigkeit: 24,0 km/s
Rektaszension des Radianten: 11:36 (174,2°)
Deklination des Radianten: -6,0°
Meteorstrom: sporadisch
Bahnelemente des Meteoroiden:
Periheldistanz: 0,670 AU
Exzentrizität: 0,768
Inklination: 5,1°
Länge des aufsteigenden Knotens: 183,9°
Argument des Perihels: 75,9°
Mittlere Anomalie: 351,5°
Epoche: 2022 MAR 24 21:44:58
orbit plot

Nicht-interaktives Diagramm | Interaktives Diagramm

position vs time
speed and acceleration