🇳🇴 🇬🇧 🇩🇪 🇨🇿 🇫🇮

Meteor, poloha: Innbygda 2022-04-01 01:23:30 UTC

Soubor KML  |  InteraktivnĂ­ mapa

Mapa zobrazuje dráhy meteoru. Světlejší čáry ukazují směry od pozorovacích stanic při objevení se meteoru a tmavší čáry, kde byl naposledy viděn. Modrá šipka značí viditelnou dráhu meteoru.

static map
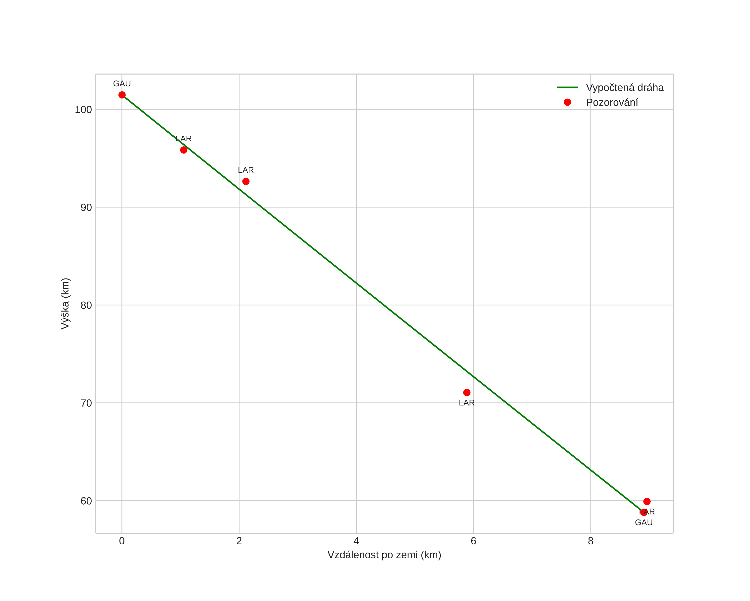
height profile
Atmosférická dráha meteoru:
Počáteční výška: 101,9 km
Konečná výška: 59,2 km
Počáteční poloha: 61,146N 13,172E
Konečná poloha: 61,165N 13,006E
Směr: 283,2°
Sklon: 77,9°
VstupnĂ­ rychlost: 33,3 km/s
Rektascenze radiantu: 16:18 (244,7°)
Deklinace radiantu: 56,3°
MeteorickĂ˝ roj: sporadickĂ˝
Elementy dráhy meteoroidu:
Vzdálenost v periheliu: 0,964 AU
Excentricita: 0,928
Sklon dráhy: 47,9°
Délka vzestupného uzlu: 11,0°
Argument perihelia: 201,9°
Střední anomálie: 359,7°
Epocha: 2022 APR 01 01:23:30
orbit plot

NeinteraktivnĂ­ graf | InteraktivnĂ­ graf

position vs time
speed and acceleration