🇳🇴 🇬🇧 🇩🇪 🇨🇿 🇫🇮

Meteor Innbygdan yllä 2022-04-01 01:23:30 UTC

KML-tiedosto  |  Interaktiivinen kartta

Kartta näyttää meteorin suuntahavainnot. Vaaleammat viivat näyttävät suunnat havaintoasemilta meteorin ilmestyessä, ja tummemmat viivat näyttävät, missä se viimeksi nähtiin. Sininen nuoli näyttää meteorin näkyvän lennon.

static map
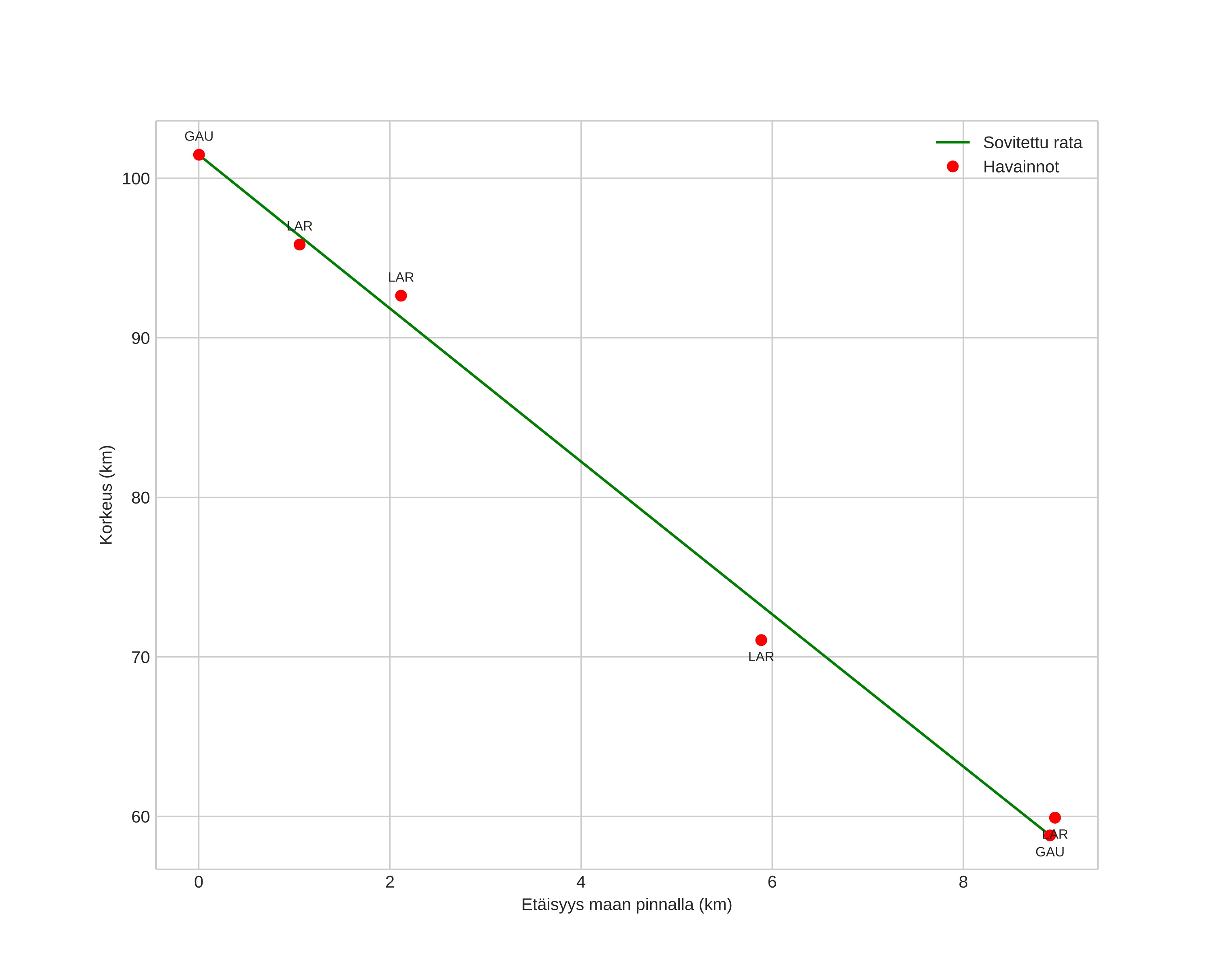
height profile
Meteorin ilmakehärata:
Alkukorkeus: 101,9 km
Loppukorkeus: 59,2 km
Alkupiste: 61,146N 13,172E
Loppupiste: 61,165N 13,006E
Suunta: 283,2°
Kallistuskulma: 77,9°
Tulonopeus: 33,3 km/s
Radiantin R,A,: 16:18 (244,7°)
Radiantin Dekl,: 56,3°
Meteoriparvi: Sporadinen
Meteoroidin rataelementit:
Perihelietäisyys: 0,964 AU
Eksentrisyys: 0,928
Inklinaatio: 47,9°
Nousevan solmun pituus: 11,0°
Perihelin argumentti: 201,9°
Keskianomalia: 359,7°
Epookki: 2022 APR 01 01:23:30
orbit plot

Ei-interaktiivinen kuvaaja | Interaktiivinen kuvaaja

position vs time
speed and acceleration