🇳🇴 🇬🇧 🇩🇪 🇨🇿 🇫🇮

Meteor über Innbygda 2022-04-01 01:23:30 UTC

KML-Datei  |  Interaktive Karte

Die Karte zeigt die Peilungen für den Meteor. Die helleren Linien zeigen die Richtungen von den Beobachtungsorten beim Erscheinen des Meteors, und die dunkleren Linien, wo er zuletzt gesehen wurde. Der blaue Pfeil zeigt die sichtbare Bahn des Meteors.

static map
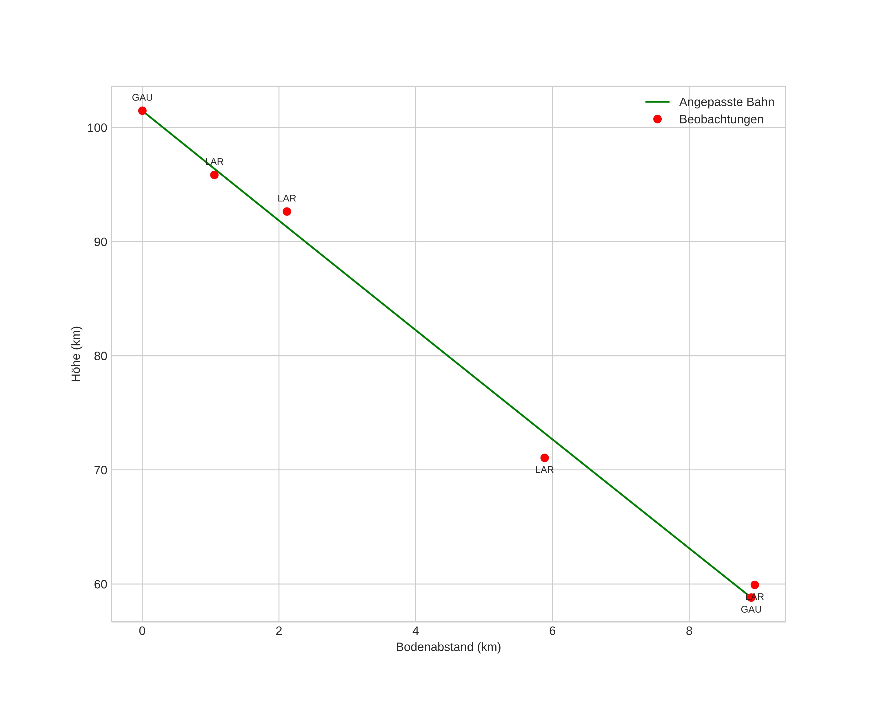
height profile
Atmosphärische Bahn des Meteors:
Anfangshöhe: 101,9 km
Endhöhe: 59,2 km
Startposition: 61,146N 13,172E
Endposition: 61,165N 13,006E
Richtung: 283,2°
Neigungswinkel: 77,9°
Eintrittsgeschwindigkeit: 33,3 km/s
Rektaszension des Radianten: 16:18 (244,7°)
Deklination des Radianten: 56,3°
Meteorstrom: sporadisch
Bahnelemente des Meteoroiden:
Periheldistanz: 0,964 AU
Exzentrizität: 0,928
Inklination: 47,9°
Länge des aufsteigenden Knotens: 11,0°
Argument des Perihels: 201,9°
Mittlere Anomalie: 359,7°
Epoche: 2022 APR 01 01:23:30
orbit plot

Nicht-interaktives Diagramm | Interaktives Diagramm

position vs time
speed and acceleration