🇳🇴 🇬🇧 🇩🇪 🇨🇿 🇫🇮

Meteor, poloha: Lillesand 2022-04-22 20:22:38 UTC

Soubor KML  |  InteraktivnĂ­ mapa

Mapa zobrazuje dráhy meteoru. Světlejší čáry ukazují směry od pozorovacích stanic při objevení se meteoru a tmavší čáry, kde byl naposledy viděn. Modrá šipka značí viditelnou dráhu meteoru.

static map
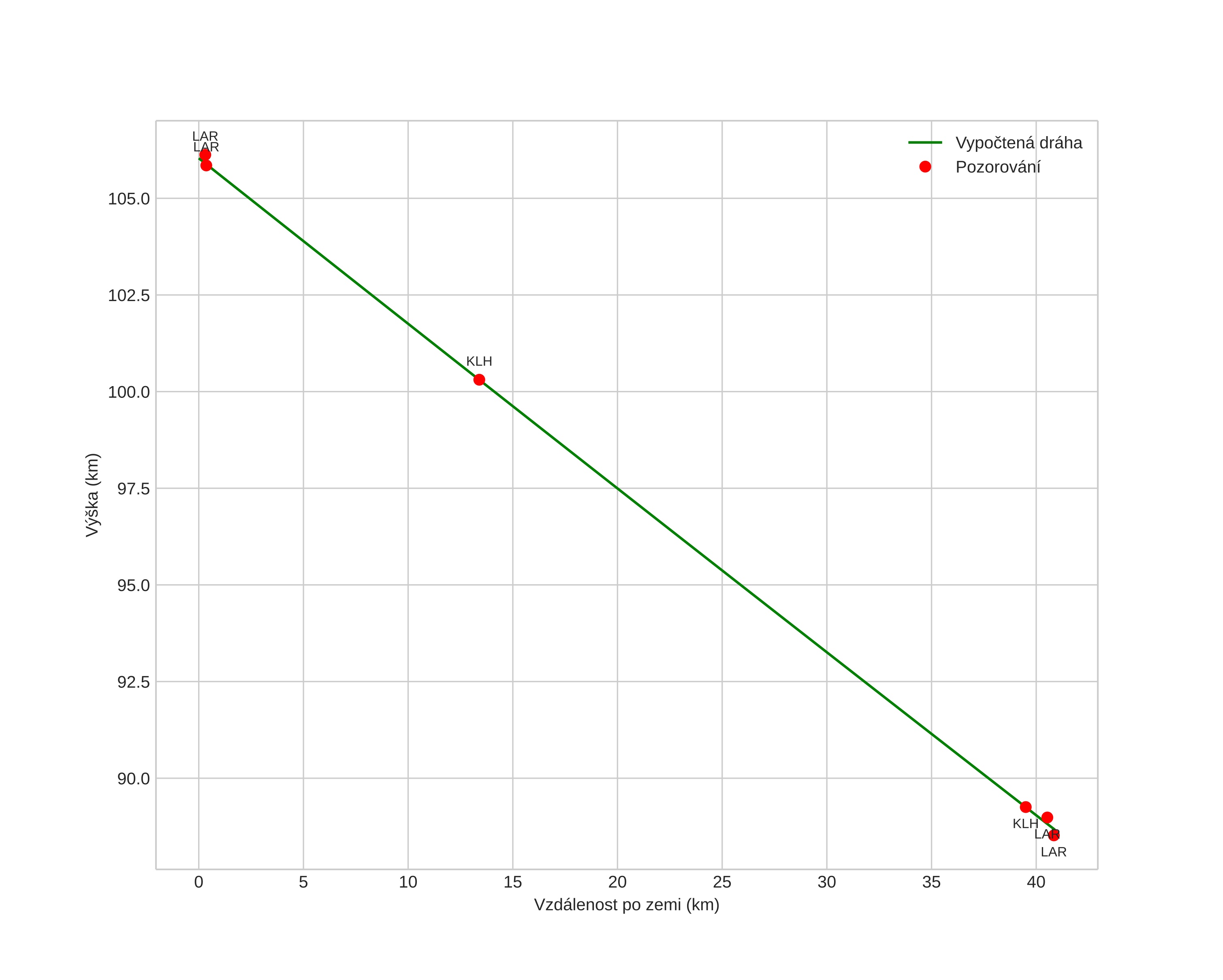
height profile
Atmosférická dráha meteoru:
Počáteční výška: 106,0 km
Konečná výška: 88,7 km
Počáteční poloha: 58,331N 9,034E
Konečná poloha: 58,144N 8,432E
Směr: 239,7°
Sklon: 22,9°
VstupnĂ­ rychlost: 47,8 km/s
Rektascenze radiantu: 17:58 (269,5°)
Deklinace radiantu: 34,4°
MeteorickĂ˝ roj: Lyridy
Elementy dráhy meteoroidu:
Vzdálenost v periheliu: 0,911 AU
Excentricita: 1,021
Sklon dráhy: 77,1°
Délka vzestupného uzlu: 32,4°
Argument perihelia: 215,4°
Střední anomálie: -0,1°
Epocha: 2022 APR 22 20:22:38
orbit plot

NeinteraktivnĂ­ graf | InteraktivnĂ­ graf

position vs time
speed and acceleration

Larvik (LAR) cam3

gnomonic
Videa
• Původní
Obrázky
• Původní
Textové soubory
• Detekce
• Pozorování
• Souřadnice
• Chybová hlášení
• Protokol
Jasnost