🇳🇴 🇬🇧 🇩🇪 🇨🇿 🇫🇮

Meteor über Lillesand 2022-04-22 20:22:38 UTC

KML-Datei  |  Interaktive Karte

Die Karte zeigt die Peilungen für den Meteor. Die helleren Linien zeigen die Richtungen von den Beobachtungsorten beim Erscheinen des Meteors, und die dunkleren Linien, wo er zuletzt gesehen wurde. Der blaue Pfeil zeigt die sichtbare Bahn des Meteors.

static map
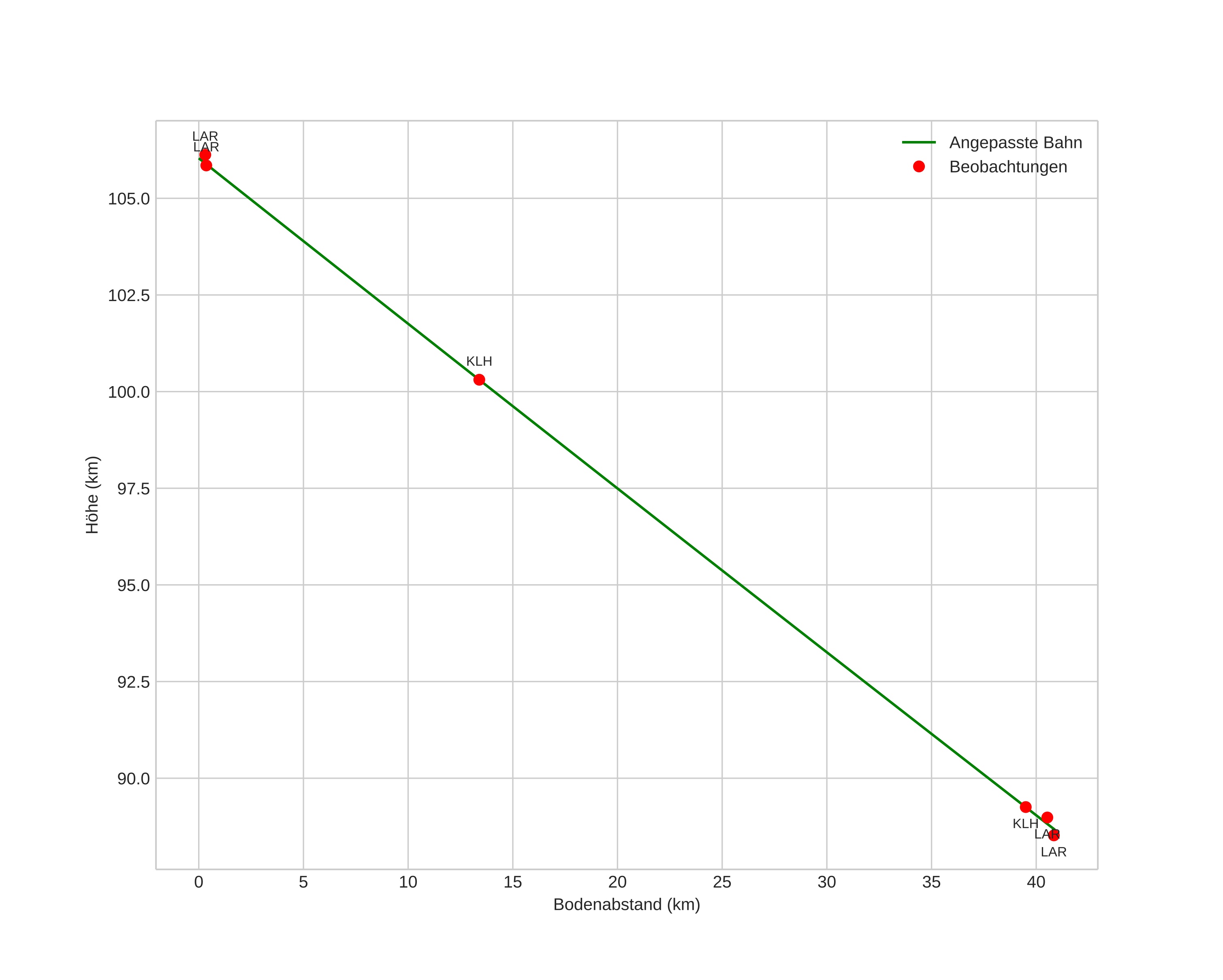
height profile
Atmosphärische Bahn des Meteors:
Anfangshöhe: 106,0 km
Endhöhe: 88,7 km
Startposition: 58,331N 9,034E
Endposition: 58,144N 8,432E
Richtung: 239,7°
Neigungswinkel: 22,9°
Eintrittsgeschwindigkeit: 47,8 km/s
Rektaszension des Radianten: 17:58 (269,5°)
Deklination des Radianten: 34,4°
Meteorstrom: Lyriden
Bahnelemente des Meteoroiden:
Periheldistanz: 0,911 AU
Exzentrizität: 1,021
Inklination: 77,1°
Länge des aufsteigenden Knotens: 32,4°
Argument des Perihels: 215,4°
Mittlere Anomalie: -0,1°
Epoche: 2022 APR 22 20:22:38
orbit plot

Nicht-interaktives Diagramm | Interaktives Diagramm

position vs time
speed and acceleration

Larvik (LAR) cam3

gnomonic
Videos
• Original
Bilder
• Original
Textdateien
• Erkennung
• Beobachtung
• Koordinaten
• Fehlermeldungen
• Protokoll
Helligkeit