🇳🇴 🇬🇧 🇩🇪 🇨🇿 🇫🇮

Meteor Lillesandin yllä 2022-04-22 20:22:38 UTC

KML-tiedosto  |  Interaktiivinen kartta

Kartta näyttää meteorin suuntahavainnot. Vaaleammat viivat näyttävät suunnat havaintoasemilta meteorin ilmestyessä, ja tummemmat viivat näyttävät, missä se viimeksi nähtiin. Sininen nuoli näyttää meteorin näkyvän lennon.

static map
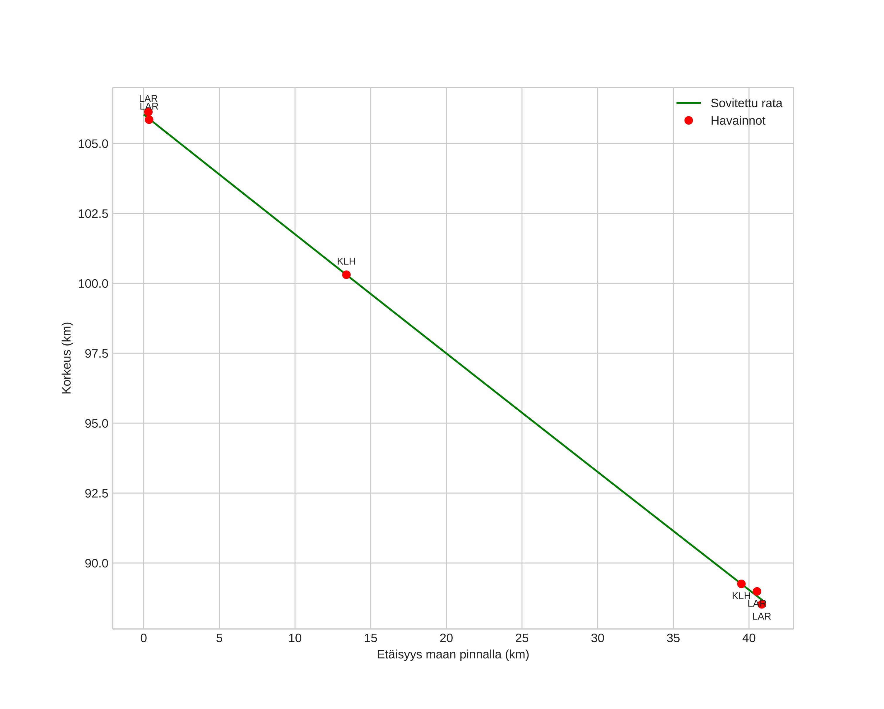
height profile
Meteorin ilmakehärata:
Alkukorkeus: 106,0 km
Loppukorkeus: 88,7 km
Alkupiste: 58,331N 9,034E
Loppupiste: 58,144N 8,432E
Suunta: 239,7°
Kallistuskulma: 22,9°
Tulonopeus: 47,8 km/s
Radiantin R,A,: 17:58 (269,5°)
Radiantin Dekl,: 34,4°
Meteoriparvi: Lyridit
Meteoroidin rataelementit:
Perihelietäisyys: 0,911 AU
Eksentrisyys: 1,021
Inklinaatio: 77,1°
Nousevan solmun pituus: 32,4°
Perihelin argumentti: 215,4°
Keskianomalia: -0,1°
Epookki: 2022 APR 22 20:22:38
orbit plot

Ei-interaktiivinen kuvaaja | Interaktiivinen kuvaaja

position vs time
speed and acceleration

Larvik (LAR) cam3

gnomonic
Videot:
• Alkuperäinen
Kuvat:
• Alkuperäinen
Tekstitiedostot:
• Havaintoraportti
• Observaatio
• Koordinaatit
• Virheilmoitukset
• Loki
Kirkkaus