🇳🇴 🇬🇧 🇩🇪 🇨🇿 🇫🇮

Meteor, poloha: Hyltebruk 2022-04-24 02:48:00 UTC

Soubor KML  |  InteraktivnĂ­ mapa

Mapa zobrazuje dráhy meteoru. Světlejší čáry ukazují směry od pozorovacích stanic při objevení se meteoru a tmavší čáry, kde byl naposledy viděn. Modrá šipka značí viditelnou dráhu meteoru.

static map
height profile
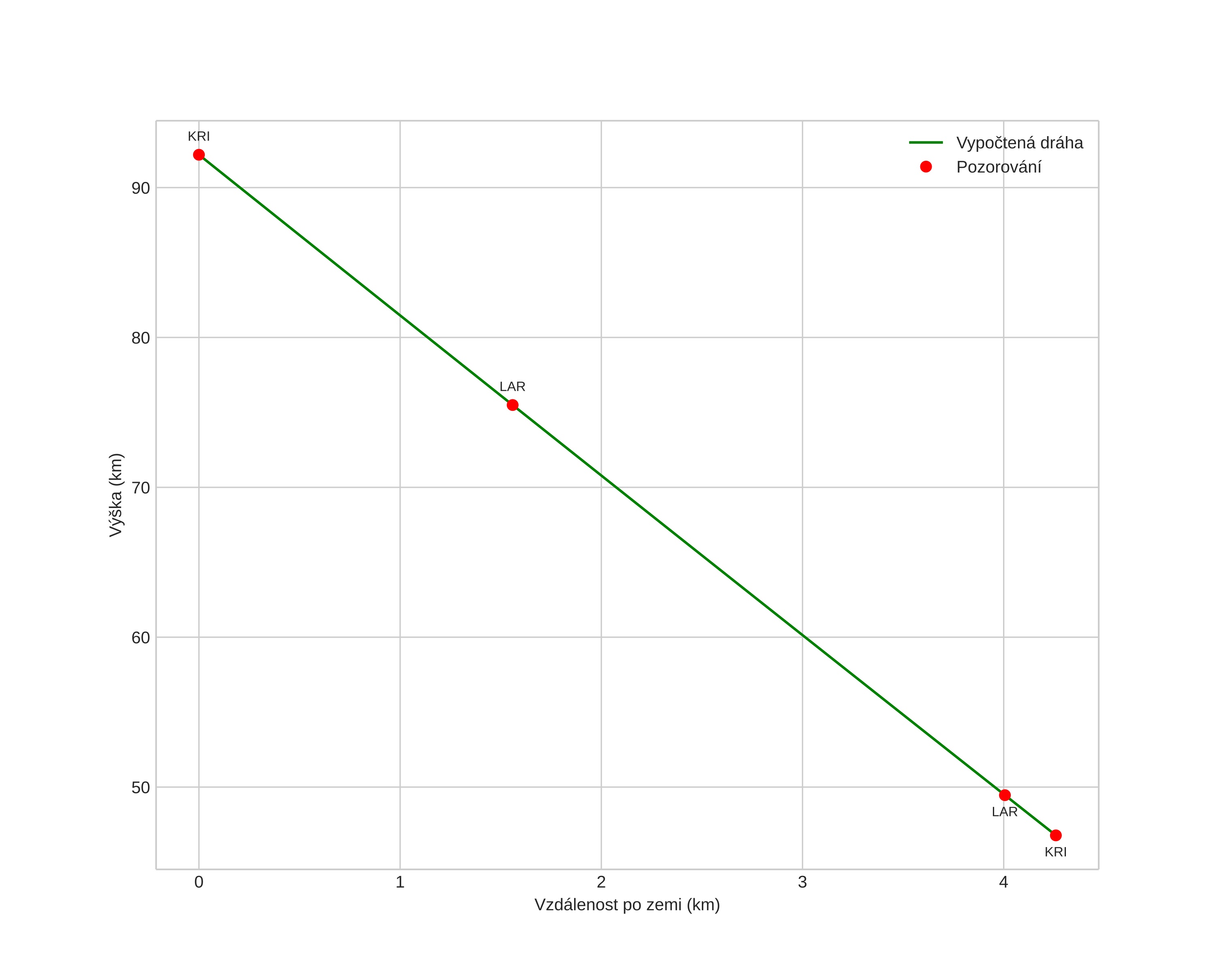
Atmosférická dráha meteoru:
Počáteční výška: 92,2 km
Konečná výška: 46,8 km
Počáteční poloha: 57,024N 13,217E
Konečná poloha: 56,987N 13,238E
Směr: 162,7°
Sklon: 84,6°
VstupnĂ­ rychlost: 27,9 km/s
Rektascenze radiantu: 17:29 (262,5°)
Deklinace radiantu: 62,1°
MeteorickĂ˝ roj: sporadickĂ˝
Elementy dráhy meteoroidu:
Vzdálenost v periheliu: 1,003 AU
Excentricita: 0,688
Sklon dráhy: 41,4°
Délka vzestupného uzlu: 33,6°
Argument perihelia: 186,8°
Střední anomálie: 359,1°
Epocha: 2022 APR 24 02:48:00
orbit plot

NeinteraktivnĂ­ graf | InteraktivnĂ­ graf

position vs time
speed and acceleration