🇳🇴 🇬🇧 🇩🇪 🇨🇿 🇫🇮

Meteor über Hyltebruk 2022-04-24 02:48:00 UTC

KML-Datei  |  Interaktive Karte

Die Karte zeigt die Peilungen für den Meteor. Die helleren Linien zeigen die Richtungen von den Beobachtungsorten beim Erscheinen des Meteors, und die dunkleren Linien, wo er zuletzt gesehen wurde. Der blaue Pfeil zeigt die sichtbare Bahn des Meteors.

static map
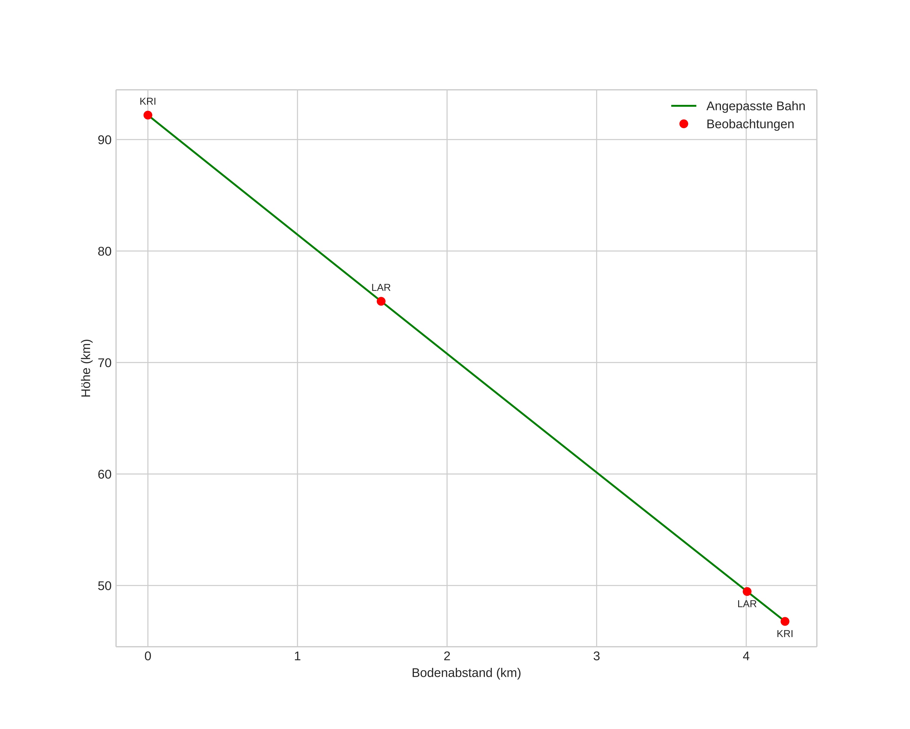
height profile
Atmosphärische Bahn des Meteors:
Anfangshöhe: 92,2 km
Endhöhe: 46,8 km
Startposition: 57,024N 13,217E
Endposition: 56,987N 13,238E
Richtung: 162,7°
Neigungswinkel: 84,6°
Eintrittsgeschwindigkeit: 27,9 km/s
Rektaszension des Radianten: 17:29 (262,5°)
Deklination des Radianten: 62,1°
Meteorstrom: sporadisch
Bahnelemente des Meteoroiden:
Periheldistanz: 1,003 AU
Exzentrizität: 0,688
Inklination: 41,4°
Länge des aufsteigenden Knotens: 33,6°
Argument des Perihels: 186,8°
Mittlere Anomalie: 359,1°
Epoche: 2022 APR 24 02:48:00
orbit plot

Nicht-interaktives Diagramm | Interaktives Diagramm

position vs time
speed and acceleration

Kristiansand (KRI) cam3


gnomonic
Videos
• Gnomonisch
• Gnomonisch mit Koordinaten
• Original
• Original mit Koordinaten
Bilder
• Gnomonisch
• Gnomonisch mit Koordinaten
• Gnomonisch mit Beschriftungen
• Original
• Original mit Koordinaten
• Original mit Maske
Textdateien
• Erkennung
• Beobachtung
• Koordinaten
• Fehlermeldungen
• Protokoll
Helligkeit

Larvik (LAR) cam3


gnomonic
Videos
• Gnomonisch
• Gnomonisch mit Koordinaten
• Original
• Original mit Koordinaten
Bilder
• Gnomonisch
• Gnomonisch mit Koordinaten
• Gnomonisch mit Beschriftungen
• Original
• Original mit Koordinaten
• Original mit Maske
Textdateien
• Erkennung
• Beobachtung
• Koordinaten
• Protokoll
Helligkeit