🇳🇴 🇬🇧 🇩🇪 🇨🇿 🇫🇮

Meteor Hyltebrukin yllä 2022-04-24 02:48:00 UTC

KML-tiedosto  |  Interaktiivinen kartta

Kartta näyttää meteorin suuntahavainnot. Vaaleammat viivat näyttävät suunnat havaintoasemilta meteorin ilmestyessä, ja tummemmat viivat näyttävät, missä se viimeksi nähtiin. Sininen nuoli näyttää meteorin näkyvän lennon.

static map
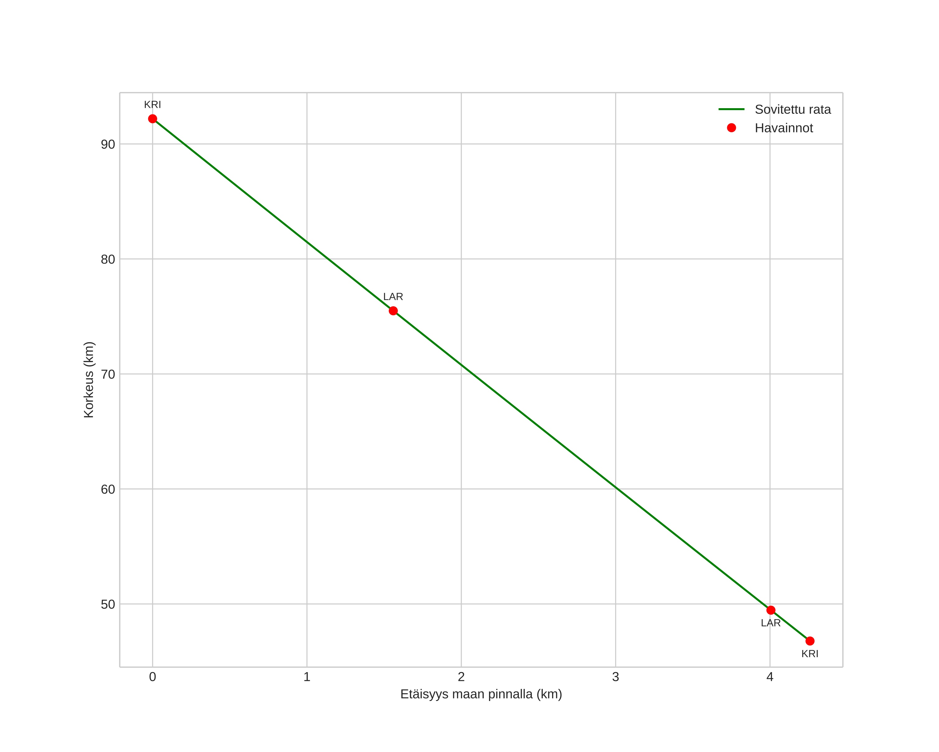
height profile
Meteorin ilmakehärata:
Alkukorkeus: 92,2 km
Loppukorkeus: 46,8 km
Alkupiste: 57,024N 13,217E
Loppupiste: 56,987N 13,238E
Suunta: 162,7°
Kallistuskulma: 84,6°
Tulonopeus: 27,9 km/s
Radiantin R,A,: 17:29 (262,5°)
Radiantin Dekl,: 62,1°
Meteoriparvi: Sporadinen
Meteoroidin rataelementit:
Perihelietäisyys: 1,003 AU
Eksentrisyys: 0,688
Inklinaatio: 41,4°
Nousevan solmun pituus: 33,6°
Perihelin argumentti: 186,8°
Keskianomalia: 359,1°
Epookki: 2022 APR 24 02:48:00
orbit plot

Ei-interaktiivinen kuvaaja | Interaktiivinen kuvaaja

position vs time
speed and acceleration

Kristiansand (KRI) cam3


gnomonic
Videot:
• Gnomoninen
• Gnomoninen koordinaateilla
• Alkuperäinen
• Alkuperäinen koordinaateilla
Kuvat:
• Gnomoninen
• Gnomoninen koordinaateilla
• Gnomoninen merkinnöillä
• Alkuperäinen
• Alkuperäinen koordinaateilla
• Alkuperäinen maskilla
Tekstitiedostot:
• Havaintoraportti
• Observaatio
• Koordinaatit
• Virheilmoitukset
• Loki
Kirkkaus

Larvik (LAR) cam3


gnomonic
Videot:
• Gnomoninen
• Gnomoninen koordinaateilla
• Alkuperäinen
• Alkuperäinen koordinaateilla
Kuvat:
• Gnomoninen
• Gnomoninen koordinaateilla
• Gnomoninen merkinnöillä
• Alkuperäinen
• Alkuperäinen koordinaateilla
• Alkuperäinen maskilla
Tekstitiedostot:
• Havaintoraportti
• Observaatio
• Koordinaatit
• Loki
Kirkkaus