🇳🇴 🇬🇧 🇩🇪 🇨🇿 🇫🇮

Meteor, poloha: TranĂĄs 2022-05-02 23:18:37 UTC

Soubor KML  |  InteraktivnĂ­ mapa

Mapa zobrazuje dráhy meteoru. Světlejší čáry ukazují směry od pozorovacích stanic při objevení se meteoru a tmavší čáry, kde byl naposledy viděn. Modrá šipka značí viditelnou dráhu meteoru.

static map
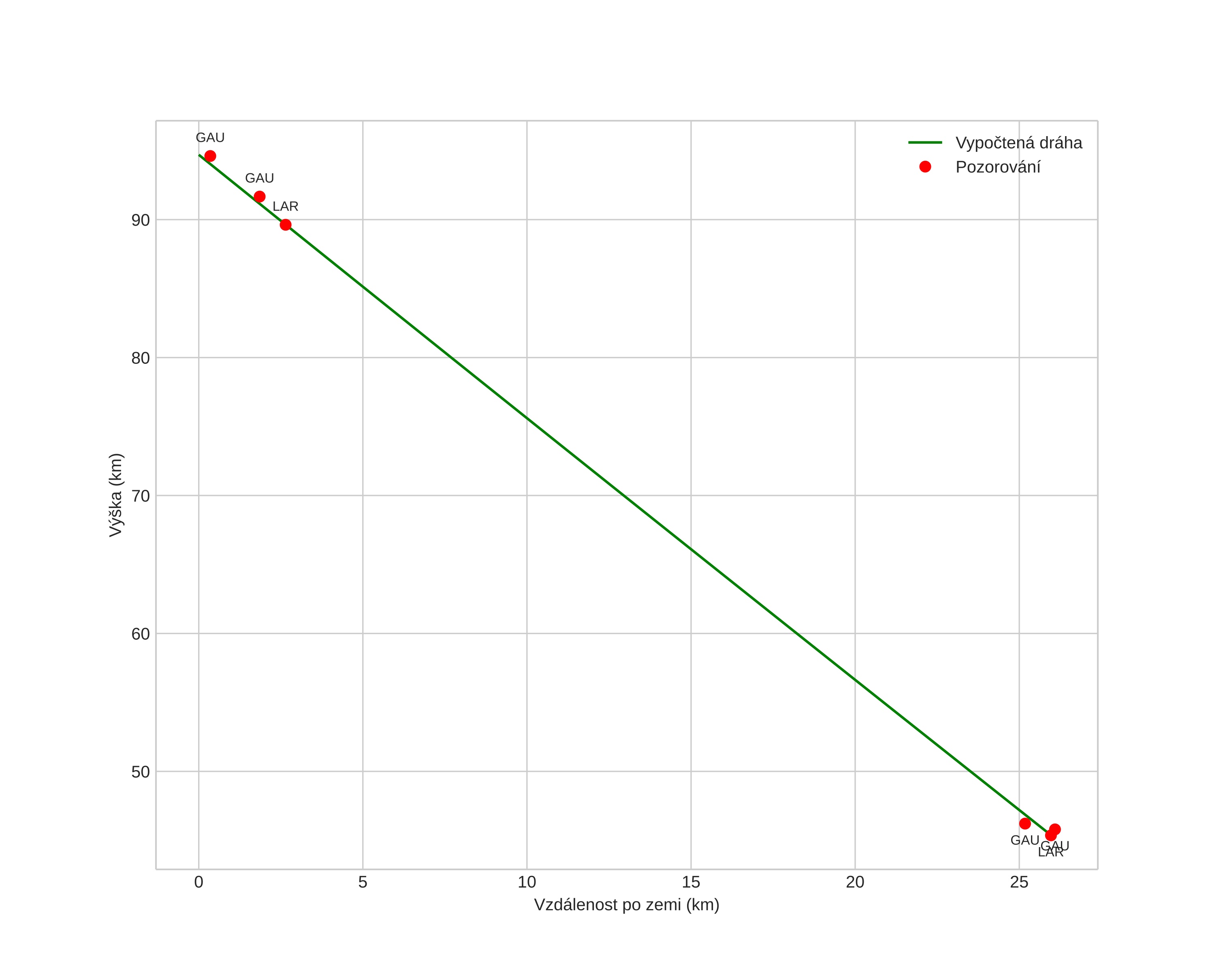
height profile
Atmosférická dráha meteoru:
Počáteční výška: 98,0 km
Konečná výška: 48,7 km
Počáteční poloha: 57,668N 15,298E
Konečná poloha: 57,872N 15,065E
Směr: 328,6°
Sklon: 61,7°
VstupnĂ­ rychlost: 34,9 km/s
Rektascenze radiantu: 16:08 (242,2°)
Deklinace radiantu: 31,1°
MeteorickĂ˝ roj: sporadickĂ˝
Elementy dráhy meteoroidu:
Vzdálenost v periheliu: 0,775 AU
Excentricita: 1,006
Sklon dráhy: 44,1°
Délka vzestupného uzlu: 42,2°
Argument perihelia: 237,3°
Střední anomálie: -0,0°
Epocha: 2022 MAY 02 23:18:37
orbit plot

NeinteraktivnĂ­ graf | InteraktivnĂ­ graf

position vs time
speed and acceleration