🇳🇴 🇬🇧 🇩🇪 🇨🇿 🇫🇮

Meteor Tranåsin yllä 2022-05-02 23:18:37 UTC

KML-tiedosto  |  Interaktiivinen kartta

Kartta näyttää meteorin suuntahavainnot. Vaaleammat viivat näyttävät suunnat havaintoasemilta meteorin ilmestyessä, ja tummemmat viivat näyttävät, missä se viimeksi nähtiin. Sininen nuoli näyttää meteorin näkyvän lennon.

static map
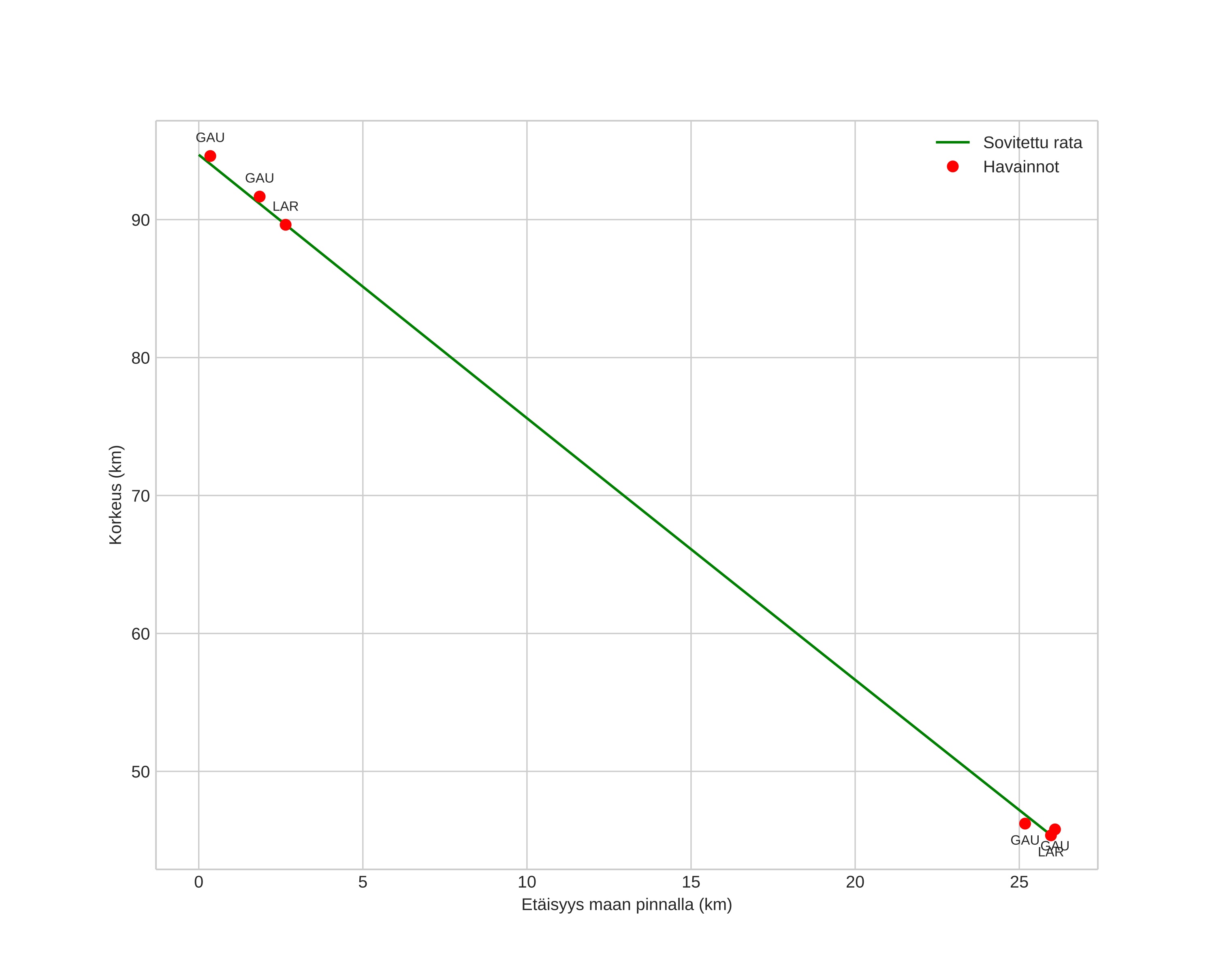
height profile
Meteorin ilmakehärata:
Alkukorkeus: 98,0 km
Loppukorkeus: 48,7 km
Alkupiste: 57,668N 15,298E
Loppupiste: 57,872N 15,065E
Suunta: 328,6°
Kallistuskulma: 61,7°
Tulonopeus: 34,9 km/s
Radiantin R,A,: 16:08 (242,2°)
Radiantin Dekl,: 31,1°
Meteoriparvi: Sporadinen
Meteoroidin rataelementit:
Perihelietäisyys: 0,775 AU
Eksentrisyys: 1,006
Inklinaatio: 44,1°
Nousevan solmun pituus: 42,2°
Perihelin argumentti: 237,3°
Keskianomalia: -0,0°
Epookki: 2022 MAY 02 23:18:37
orbit plot

Ei-interaktiivinen kuvaaja | Interaktiivinen kuvaaja

position vs time
speed and acceleration