🇳🇴 🇬🇧 🇩🇪 🇨🇿 🇫🇮

Meteor, poloha: Dronninglund 2022-08-06 01:27:04 UTC

Soubor KML  |  InteraktivnĂ­ mapa

Mapa zobrazuje dráhy meteoru. Světlejší čáry ukazují směry od pozorovacích stanic při objevení se meteoru a tmavší čáry, kde byl naposledy viděn. Modrá šipka značí viditelnou dráhu meteoru.

static map
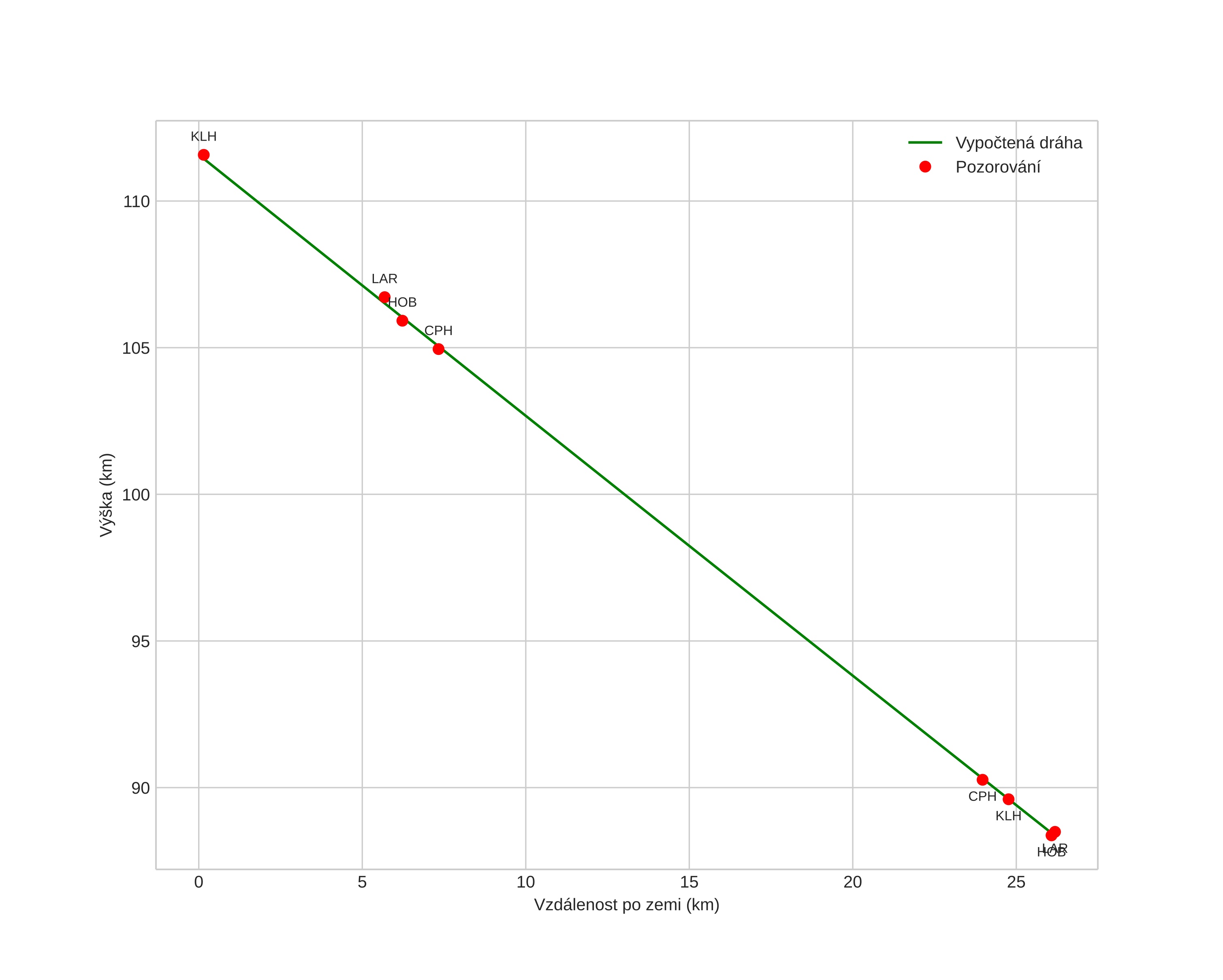
height profile
Atmosférická dráha meteoru:
Počáteční výška: 111,9 km
Konečná výška: 88,5 km
Počáteční poloha: 57,028N 10,864E
Konečná poloha: 57,124N 10,467E
Směr: 294,1°
Sklon: 41,7°
VstupnĂ­ rychlost: 73,0 km/s
Rektascenze radiantu: 02:18 (34,6°)
Deklinace radiantu: 22,7°
MeteorickĂ˝ roj: sporadickĂ˝
Elementy dráhy meteoroidu:
Vzdálenost v periheliu: 1,004 AU
Excentricita: 1,138
Sklon dráhy: 165,9°
Délka vzestupného uzlu: 133,3°
Argument perihelia: 191,4°
Střední anomálie: -0,4°
Epocha: 2022 AUG 06 01:27:04
orbit plot

NeinteraktivnĂ­ graf | InteraktivnĂ­ graf

position vs time
speed and acceleration