🇳🇴 🇬🇧 🇩🇪 🇨🇿 🇫🇮

Meteor über Dronninglund 2022-08-06 01:27:04 UTC

KML-Datei  |  Interaktive Karte

Die Karte zeigt die Peilungen für den Meteor. Die helleren Linien zeigen die Richtungen von den Beobachtungsorten beim Erscheinen des Meteors, und die dunkleren Linien, wo er zuletzt gesehen wurde. Der blaue Pfeil zeigt die sichtbare Bahn des Meteors.

static map
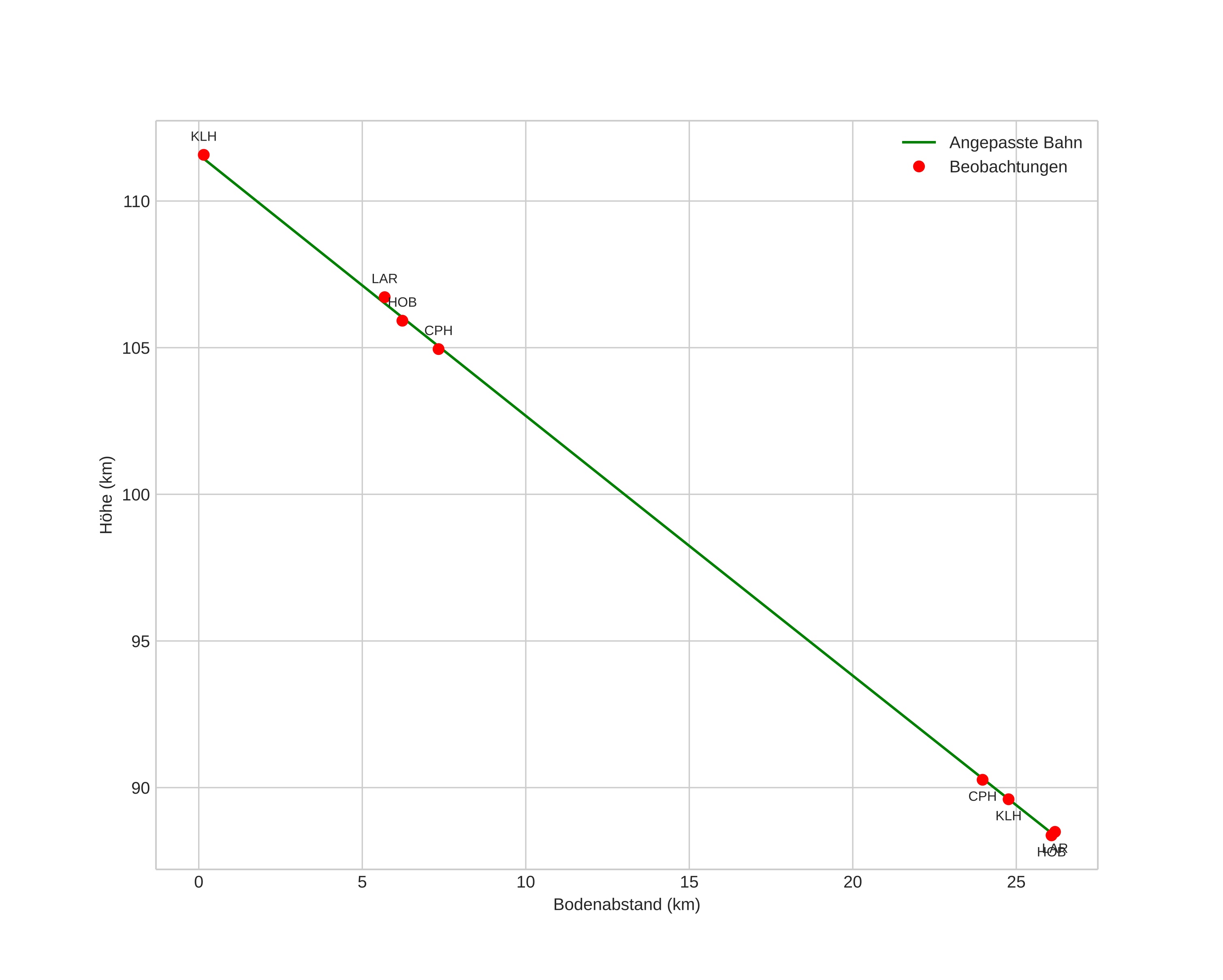
height profile
Atmosphärische Bahn des Meteors:
Anfangshöhe: 111,9 km
Endhöhe: 88,5 km
Startposition: 57,028N 10,864E
Endposition: 57,124N 10,467E
Richtung: 294,1°
Neigungswinkel: 41,7°
Eintrittsgeschwindigkeit: 73,0 km/s
Rektaszension des Radianten: 02:18 (34,6°)
Deklination des Radianten: 22,7°
Meteorstrom: sporadisch
Bahnelemente des Meteoroiden:
Periheldistanz: 1,004 AU
Exzentrizität: 1,138
Inklination: 165,9°
Länge des aufsteigenden Knotens: 133,3°
Argument des Perihels: 191,4°
Mittlere Anomalie: -0,4°
Epoche: 2022 AUG 06 01:27:04
orbit plot

Nicht-interaktives Diagramm | Interaktives Diagramm

position vs time
speed and acceleration