🇳🇴 🇬🇧 🇩🇪 🇨🇿 🇫🇮

Meteor Dronninglundin yllä 2022-08-06 01:27:04 UTC

KML-tiedosto  |  Interaktiivinen kartta

Kartta näyttää meteorin suuntahavainnot. Vaaleammat viivat näyttävät suunnat havaintoasemilta meteorin ilmestyessä, ja tummemmat viivat näyttävät, missä se viimeksi nähtiin. Sininen nuoli näyttää meteorin näkyvän lennon.

static map
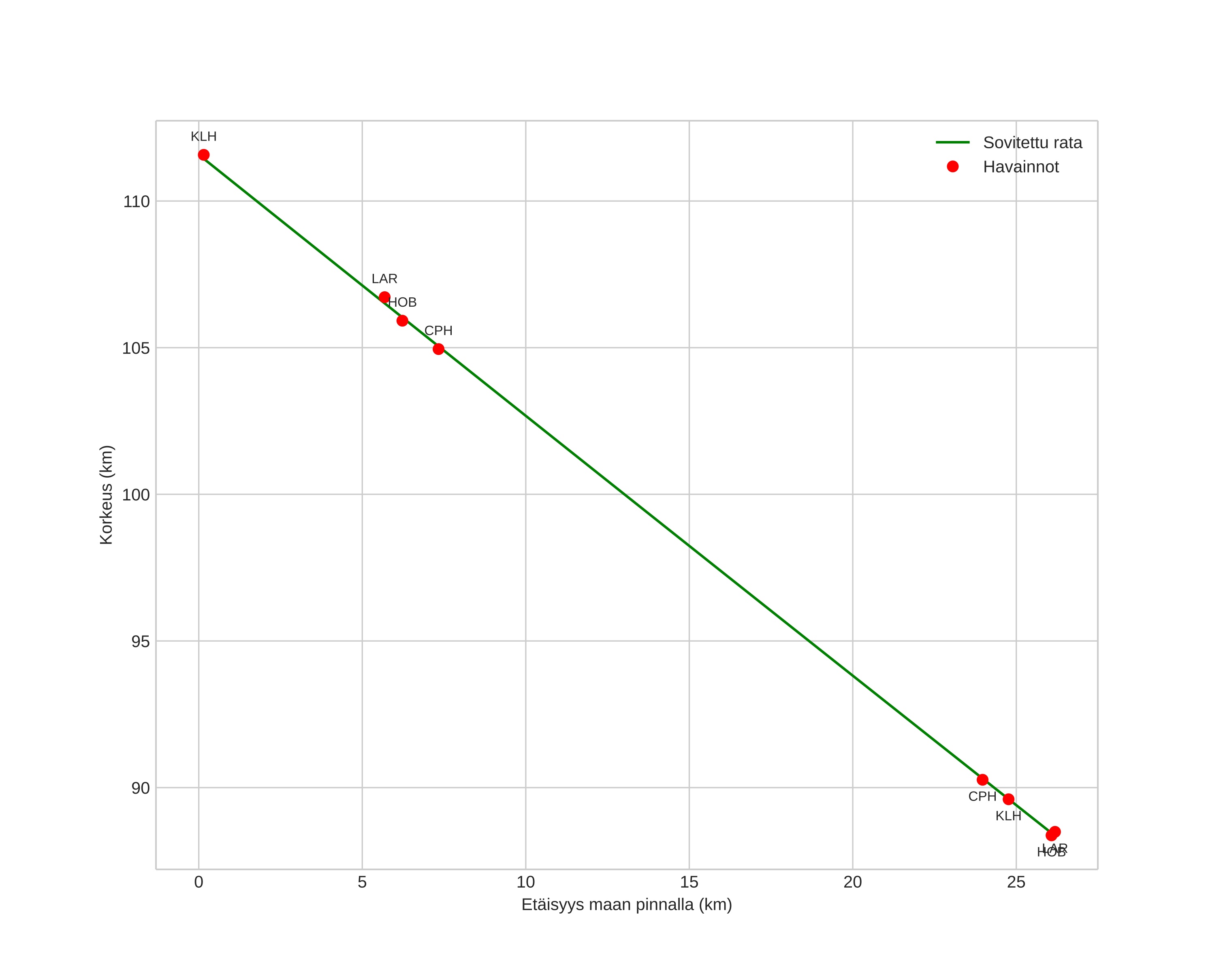
height profile
Meteorin ilmakehärata:
Alkukorkeus: 111,9 km
Loppukorkeus: 88,5 km
Alkupiste: 57,028N 10,864E
Loppupiste: 57,124N 10,467E
Suunta: 294,1°
Kallistuskulma: 41,7°
Tulonopeus: 73,0 km/s
Radiantin R,A,: 02:18 (34,6°)
Radiantin Dekl,: 22,7°
Meteoriparvi: Sporadinen
Meteoroidin rataelementit:
Perihelietäisyys: 1,004 AU
Eksentrisyys: 1,138
Inklinaatio: 165,9°
Nousevan solmun pituus: 133,3°
Perihelin argumentti: 191,4°
Keskianomalia: -0,4°
Epookki: 2022 AUG 06 01:27:04
orbit plot

Ei-interaktiivinen kuvaaja | Interaktiivinen kuvaaja

position vs time
speed and acceleration