🇳🇴 🇬🇧 🇩🇪 🇨🇿 🇫🇮

Meteor, poloha: Grenaa 2022-09-14 22:46:30 UTC

Soubor KML  |  InteraktivnĂ­ mapa

Mapa zobrazuje dráhy meteoru. Světlejší čáry ukazují směry od pozorovacích stanic při objevení se meteoru a tmavší čáry, kde byl naposledy viděn. Modrá šipka značí viditelnou dráhu meteoru.

static map
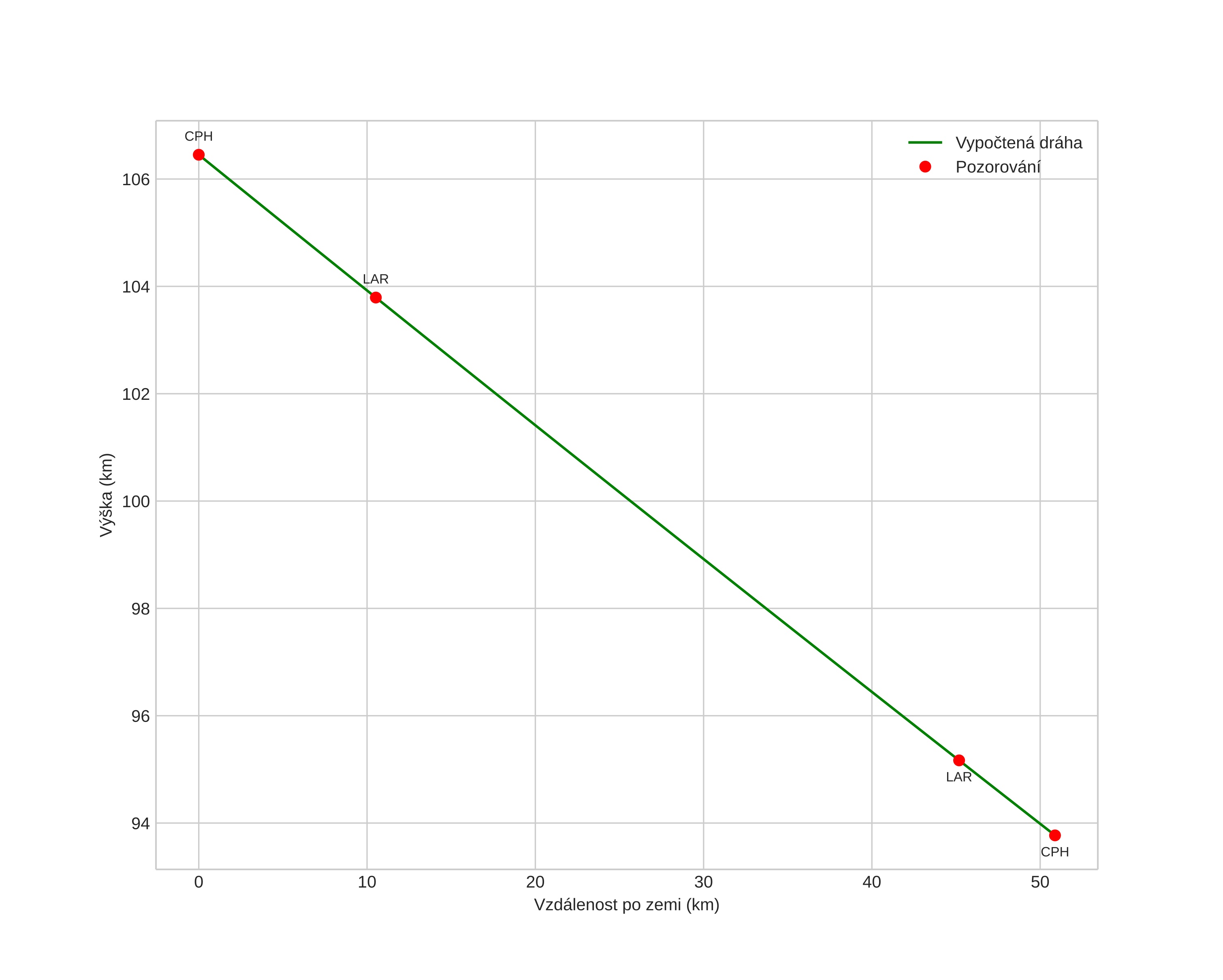
height profile
Atmosférická dráha meteoru:
Počáteční výška: 106,4 km
Konečná výška: 93,8 km
Počáteční poloha: 56,750N 11,500E
Konečná poloha: 56,315N 11,242E
Směr: 198,2°
Sklon: 13,9°
VstupnĂ­ rychlost: 55,4 km/s
Rektascenze radiantu: 09:27 (141,8°)
Deklinace radiantu: 44,2°
MeteorickĂ˝ roj: sporadickĂ˝
Elementy dráhy meteoroidu:
Vzdálenost v periheliu: 0,358 AU
Excentricita: 1,042
Sklon dráhy: 96,3°
Délka vzestupného uzlu: 171,8°
Argument perihelia: 74,8°
Střední anomálie: 1,5°
Epocha: 2022 SEP 14 22:46:30
orbit plot

NeinteraktivnĂ­ graf | InteraktivnĂ­ graf

position vs time
speed and acceleration