🇳🇴 🇬🇧 🇩🇪 🇨🇿 🇫🇮

Meteor Grenaan yllä 2022-09-14 22:46:30 UTC

KML-tiedosto  |  Interaktiivinen kartta

Kartta näyttää meteorin suuntahavainnot. Vaaleammat viivat näyttävät suunnat havaintoasemilta meteorin ilmestyessä, ja tummemmat viivat näyttävät, missä se viimeksi nähtiin. Sininen nuoli näyttää meteorin näkyvän lennon.

static map
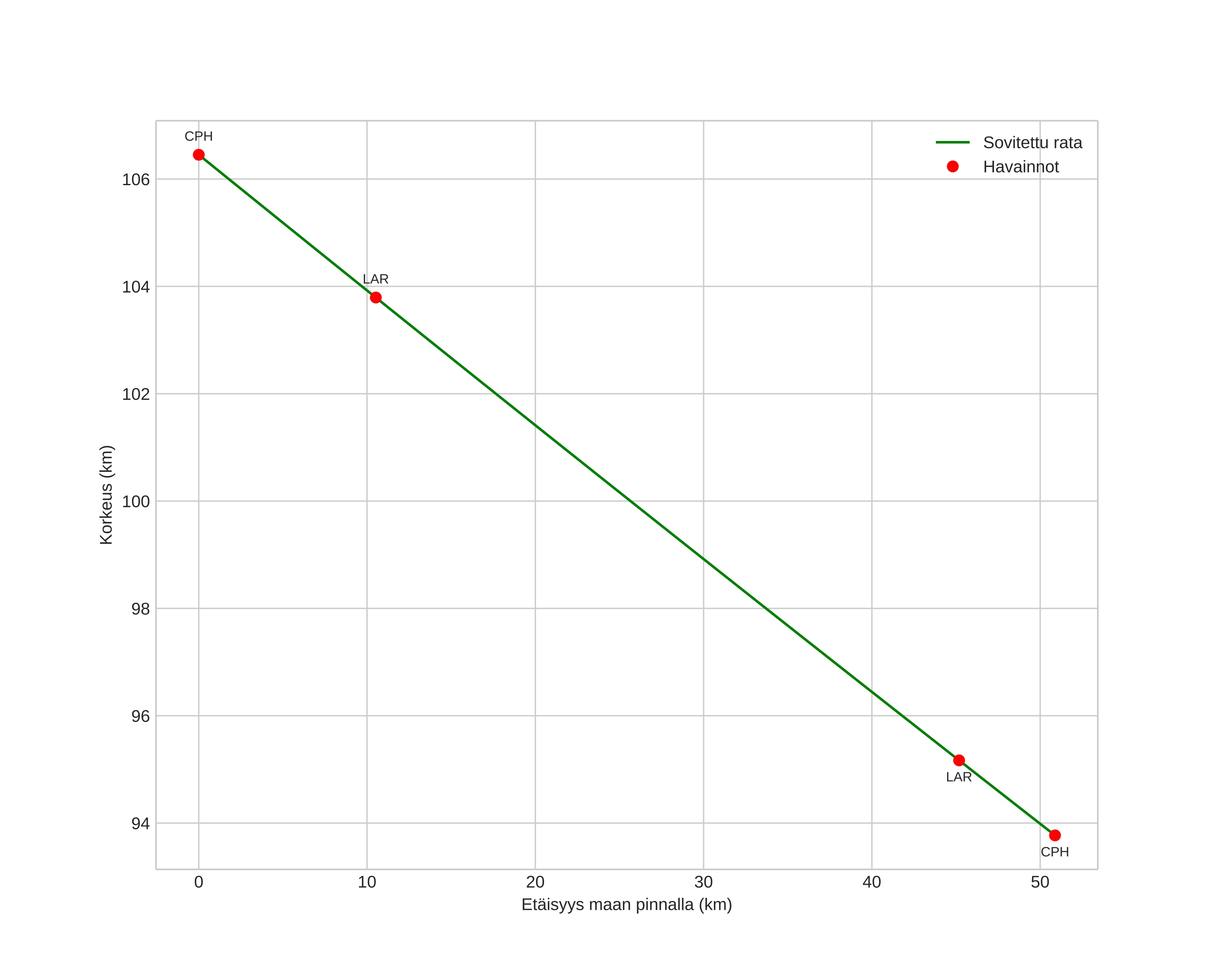
height profile
Meteorin ilmakehärata:
Alkukorkeus: 106,4 km
Loppukorkeus: 93,8 km
Alkupiste: 56,750N 11,500E
Loppupiste: 56,315N 11,242E
Suunta: 198,2°
Kallistuskulma: 13,9°
Tulonopeus: 55,4 km/s
Radiantin R,A,: 09:27 (141,8°)
Radiantin Dekl,: 44,2°
Meteoriparvi: Sporadinen
Meteoroidin rataelementit:
Perihelietäisyys: 0,358 AU
Eksentrisyys: 1,042
Inklinaatio: 96,3°
Nousevan solmun pituus: 171,8°
Perihelin argumentti: 74,8°
Keskianomalia: 1,5°
Epookki: 2022 SEP 14 22:46:30
orbit plot

Ei-interaktiivinen kuvaaja | Interaktiivinen kuvaaja

position vs time
speed and acceleration