🇳🇴 🇬🇧 🇩🇪 🇨🇿 🇫🇮

Meteor, poloha: Auning 2022-09-25 01:52:29 UTC

Soubor KML  |  InteraktivnĂ­ mapa

Mapa zobrazuje dráhy meteoru. Světlejší čáry ukazují směry od pozorovacích stanic při objevení se meteoru a tmavší čáry, kde byl naposledy viděn. Modrá šipka značí viditelnou dráhu meteoru.

static map
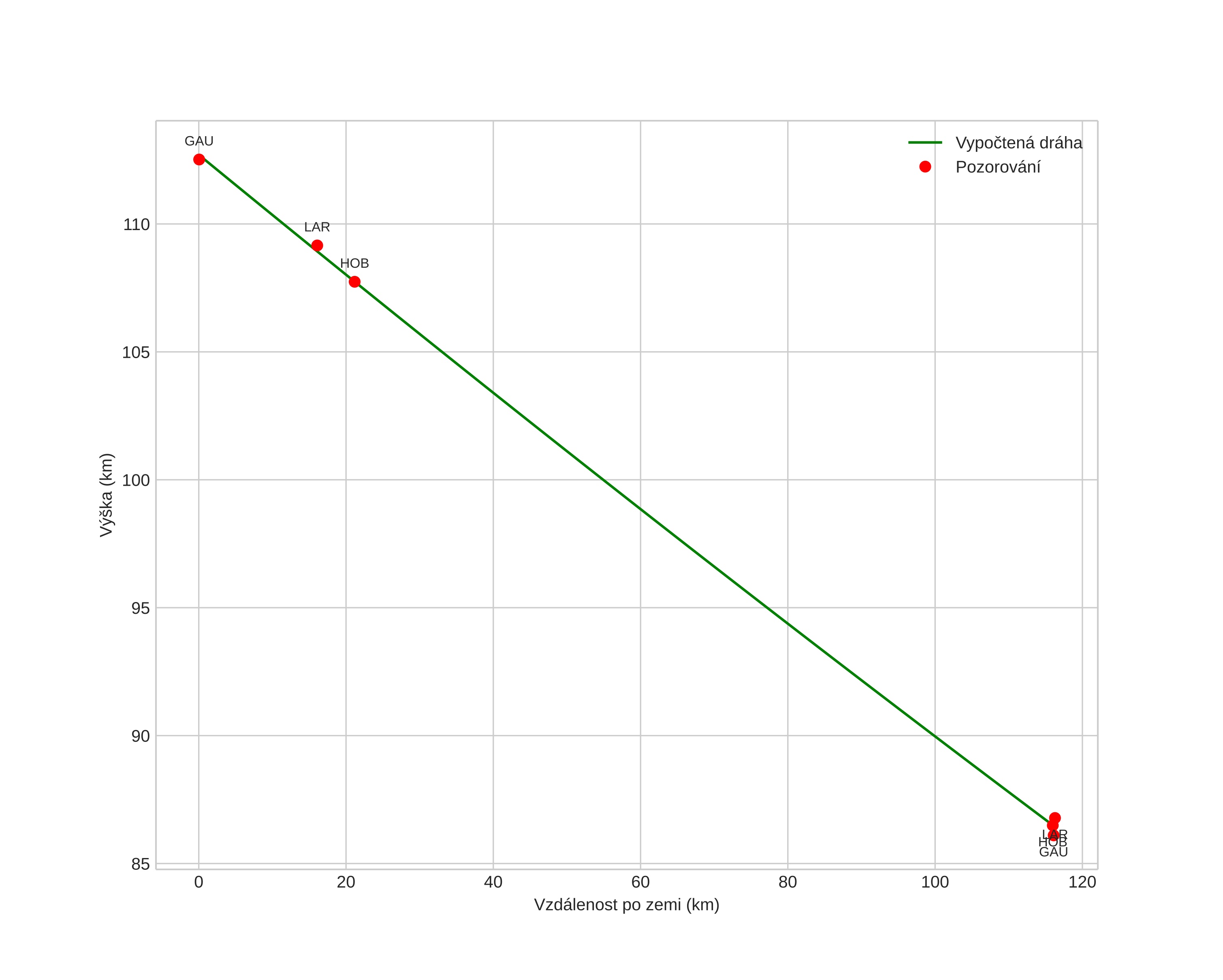
height profile
Atmosférická dráha meteoru:
Počáteční výška: 114,6 km
Konečná výška: 86,3 km
Počáteční poloha: 56,158N 12,324E
Konečná poloha: 56,460N 10,376E
Směr: 286,5°
Sklon: 12,8°
VstupnĂ­ rychlost: 63,9 km/s
Rektascenze radiantu: 07:34 (113,6°)
Deklinace radiantu: 1,2°
MeteorickĂ˝ roj: sporadickĂ˝
Elementy dráhy meteoroidu:
Vzdálenost v periheliu: 0,643 AU
Excentricita: 0,869
Sklon dráhy: 138,2°
Délka vzestupného uzlu: 1,7°
Argument perihelia: 283,1°
Střední anomálie: 3,7°
Epocha: 2022 SEP 25 01:52:29
orbit plot

NeinteraktivnĂ­ graf | InteraktivnĂ­ graf

position vs time
speed and acceleration