🇳🇴 🇬🇧 🇩🇪 🇨🇿 🇫🇮

Meteor Auningin yllä 2022-09-25 01:52:29 UTC

KML-tiedosto  |  Interaktiivinen kartta

Kartta näyttää meteorin suuntahavainnot. Vaaleammat viivat näyttävät suunnat havaintoasemilta meteorin ilmestyessä, ja tummemmat viivat näyttävät, missä se viimeksi nähtiin. Sininen nuoli näyttää meteorin näkyvän lennon.

static map
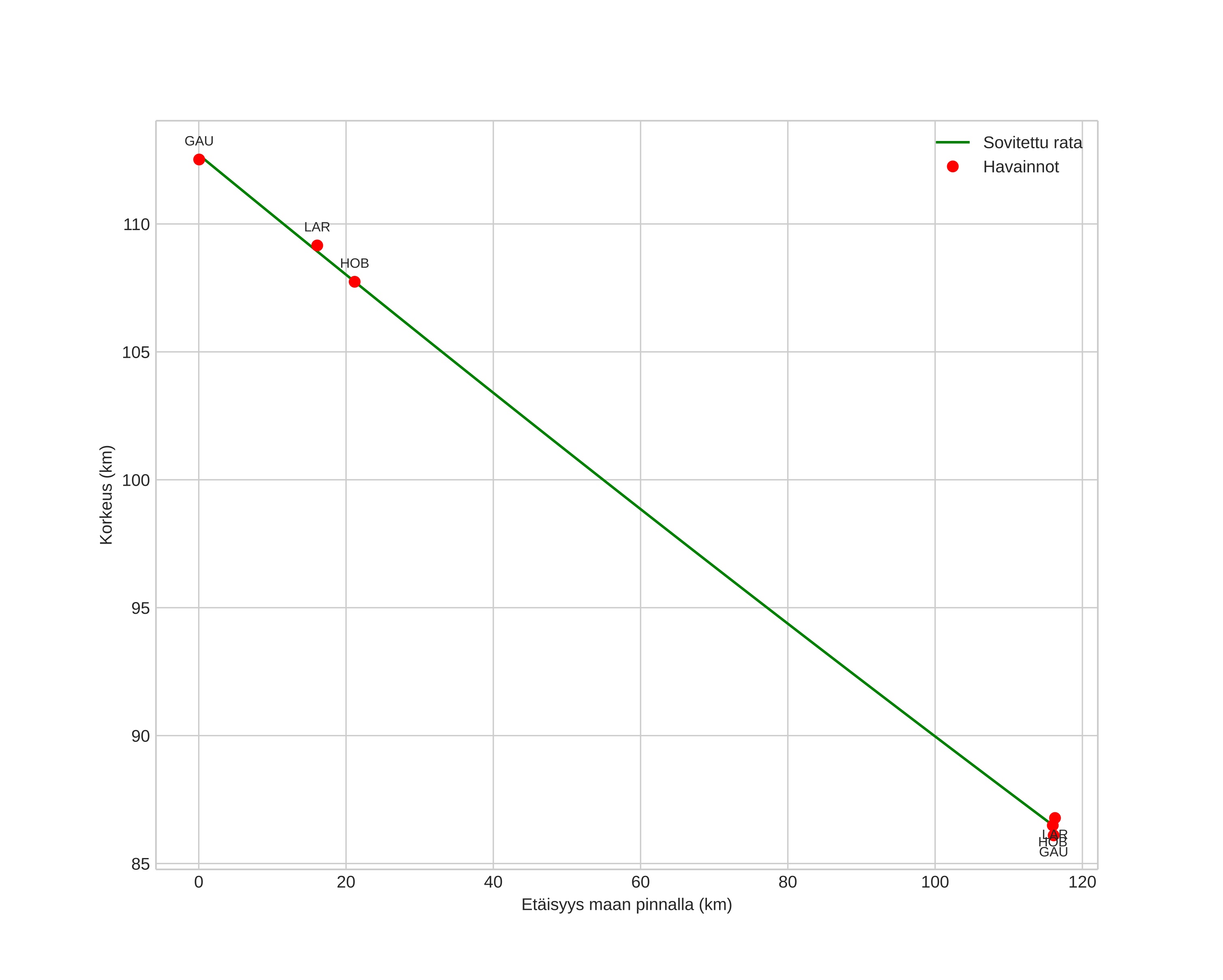
height profile
Meteorin ilmakehärata:
Alkukorkeus: 114,6 km
Loppukorkeus: 86,3 km
Alkupiste: 56,158N 12,324E
Loppupiste: 56,460N 10,376E
Suunta: 286,5°
Kallistuskulma: 12,8°
Tulonopeus: 63,9 km/s
Radiantin R,A,: 07:34 (113,6°)
Radiantin Dekl,: 1,2°
Meteoriparvi: Sporadinen
Meteoroidin rataelementit:
Perihelietäisyys: 0,643 AU
Eksentrisyys: 0,869
Inklinaatio: 138,2°
Nousevan solmun pituus: 1,7°
Perihelin argumentti: 283,1°
Keskianomalia: 3,7°
Epookki: 2022 SEP 25 01:52:29
orbit plot

Ei-interaktiivinen kuvaaja | Interaktiivinen kuvaaja

position vs time
speed and acceleration