🇳🇴 🇬🇧 🇩🇪 🇨🇿 🇫🇮

Meteor, poloha: Evjen 2022-09-25 21:19:44 UTC

Soubor KML  |  InteraktivnĂ­ mapa

Mapa zobrazuje dráhy meteoru. Světlejší čáry ukazují směry od pozorovacích stanic při objevení se meteoru a tmavší čáry, kde byl naposledy viděn. Modrá šipka značí viditelnou dráhu meteoru.

static map
height profile
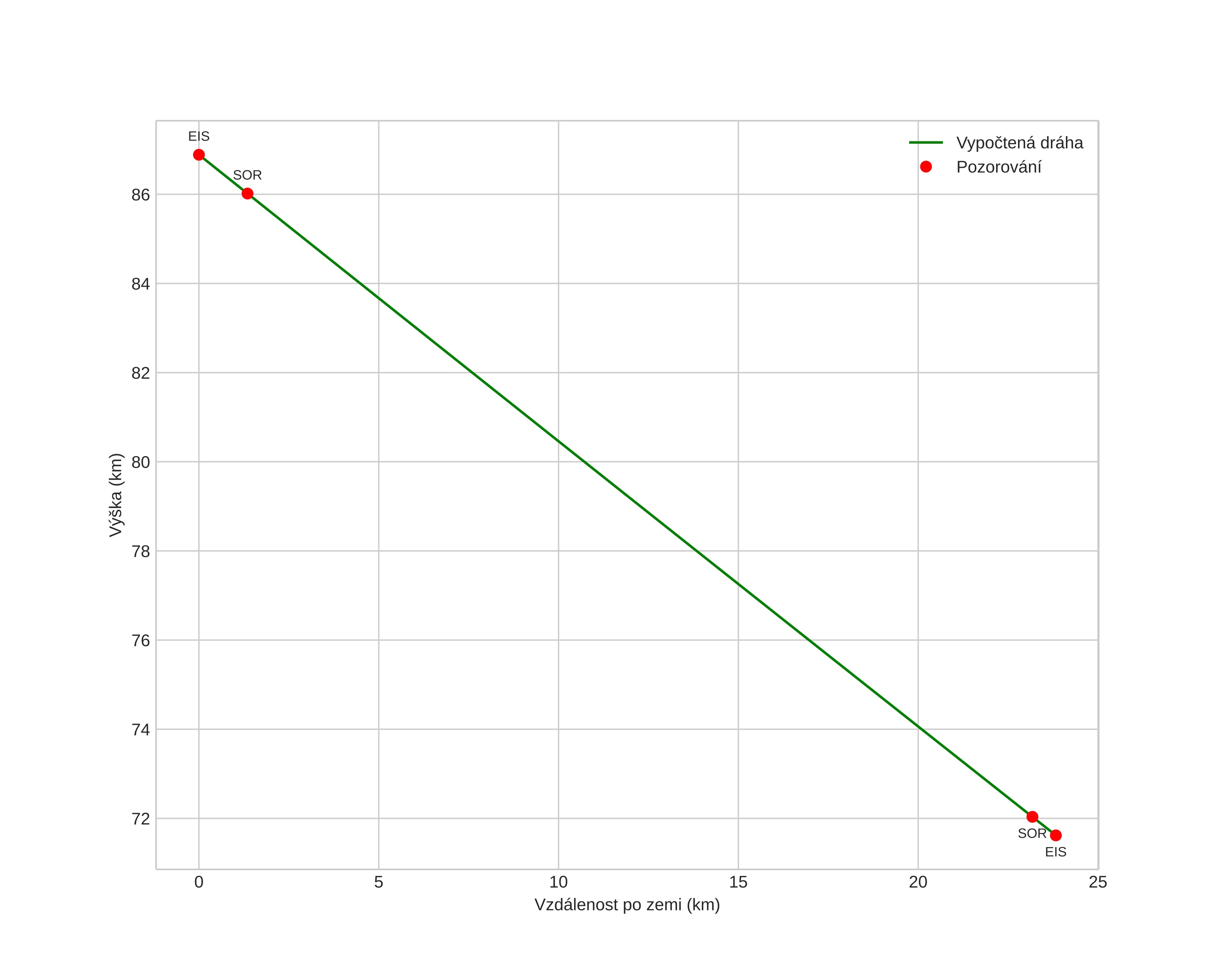
Atmosférická dráha meteoru:
Počáteční výška: 86,9 km
Konečná výška: 71,5 km
Počáteční poloha: 69,152N 12,616E
Konečná poloha: 69,285N 13,095E
Směr: 51,7°
Sklon: 32,7°
VstupnĂ­ rychlost: 15,0 km/s
Rektascenze radiantu: 19:14 (288,7°)
Deklinace radiantu: 7,0°
MeteorickĂ˝ roj: sporadickĂ˝
Elementy dráhy meteoroidu:
Vzdálenost v periheliu: 0,993 AU
Excentricita: 0,695
Sklon dráhy: 7,4°
Délka vzestupného uzlu: 182,5°
Argument perihelia: 192,3°
Střední anomálie: 358,4°
Epocha: 2022 SEP 25 21:19:44
orbit plot

NeinteraktivnĂ­ graf | InteraktivnĂ­ graf

position vs time
speed and acceleration