🇳🇴 🇬🇧 🇩🇪 🇨🇿 🇫🇮

Meteor Evjenin yllä 2022-09-25 21:19:44 UTC

KML-tiedosto  |  Interaktiivinen kartta

Kartta näyttää meteorin suuntahavainnot. Vaaleammat viivat näyttävät suunnat havaintoasemilta meteorin ilmestyessä, ja tummemmat viivat näyttävät, missä se viimeksi nähtiin. Sininen nuoli näyttää meteorin näkyvän lennon.

static map
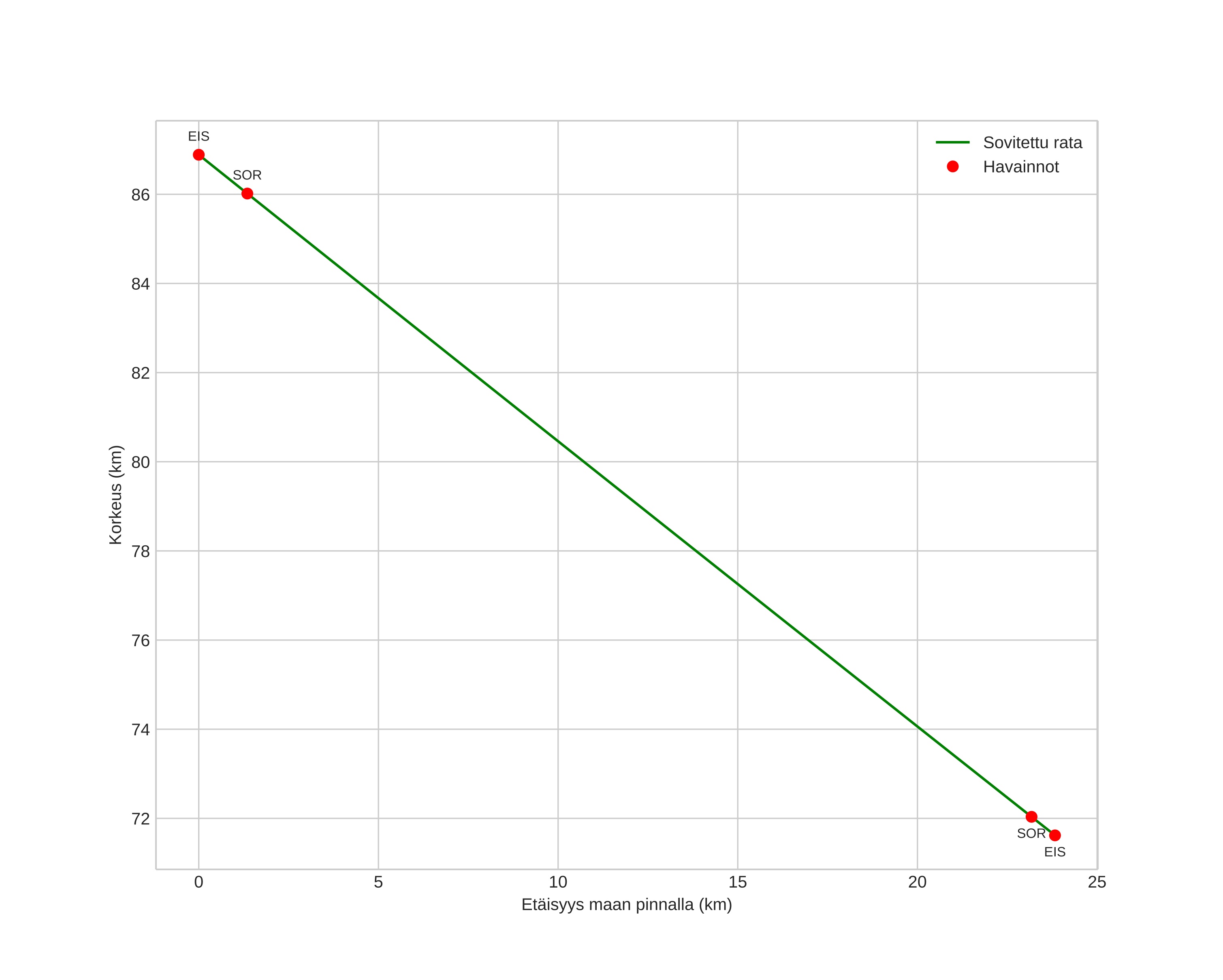
height profile
Meteorin ilmakehärata:
Alkukorkeus: 86,9 km
Loppukorkeus: 71,5 km
Alkupiste: 69,152N 12,616E
Loppupiste: 69,285N 13,095E
Suunta: 51,7°
Kallistuskulma: 32,7°
Tulonopeus: 15,0 km/s
Radiantin R,A,: 19:14 (288,7°)
Radiantin Dekl,: 7,0°
Meteoriparvi: Sporadinen
Meteoroidin rataelementit:
Perihelietäisyys: 0,993 AU
Eksentrisyys: 0,695
Inklinaatio: 7,4°
Nousevan solmun pituus: 182,5°
Perihelin argumentti: 192,3°
Keskianomalia: 358,4°
Epookki: 2022 SEP 25 21:19:44
orbit plot

Ei-interaktiivinen kuvaaja | Interaktiivinen kuvaaja

position vs time
speed and acceleration