🇳🇴 🇬🇧 🇩🇪 🇨🇿 🇫🇮

Meteor, poloha: Moen 2022-09-30 19:53:28 UTC

Soubor KML  |  InteraktivnĂ­ mapa

Mapa zobrazuje dráhy meteoru. Světlejší čáry ukazují směry od pozorovacích stanic při objevení se meteoru a tmavší čáry, kde byl naposledy viděn. Modrá šipka značí viditelnou dráhu meteoru.

static map
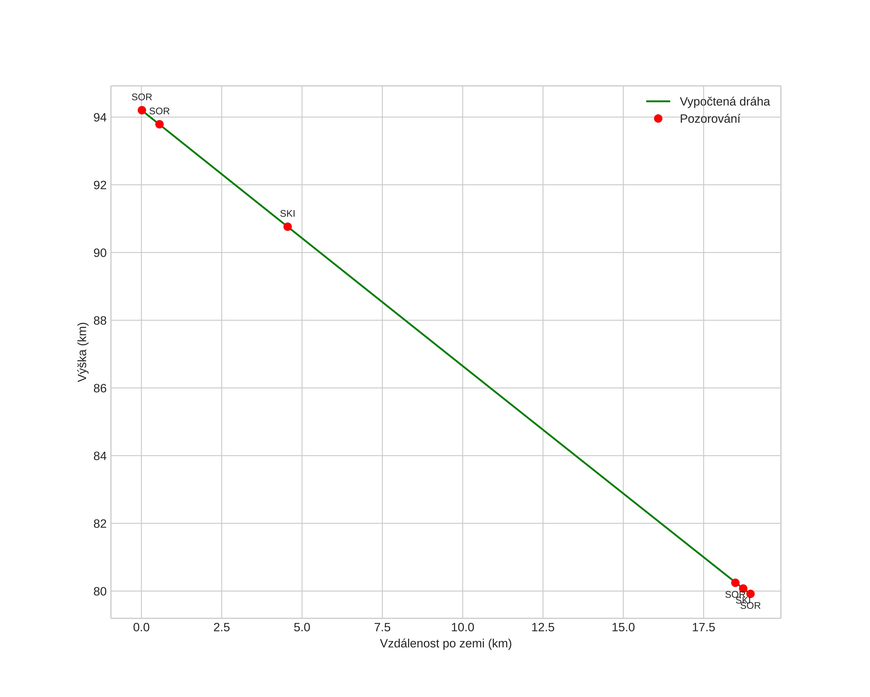
height profile
Atmosférická dráha meteoru:
Počáteční výška: 93,8 km
Konečná výška: 79,6 km
Počáteční poloha: 68,922N 18,878E
Konečná poloha: 69,080N 18,712E
Směr: 339,5°
Sklon: 37,0°
VstupnĂ­ rychlost: 22,6 km/s
Rektascenze radiantu: 22:53 (343,5°)
Deklinace radiantu: 13,0°
MeteorickĂ˝ roj: sporadickĂ˝
Elementy dráhy meteoroidu:
Vzdálenost v periheliu: 0,778 AU
Excentricita: 0,867
Sklon dráhy: 10,0°
Délka vzestupného uzlu: 187,3°
Argument perihelia: 238,7°
Střední anomálie: 357,5°
Epocha: 2022 SEP 30 19:53:28
orbit plot

NeinteraktivnĂ­ graf | InteraktivnĂ­ graf

position vs time
speed and acceleration