🇳🇴 🇬🇧 🇩🇪 🇨🇿 🇫🇮

Meteor Moenin yllä 2022-09-30 19:53:28 UTC

KML-tiedosto  |  Interaktiivinen kartta

Kartta näyttää meteorin suuntahavainnot. Vaaleammat viivat näyttävät suunnat havaintoasemilta meteorin ilmestyessä, ja tummemmat viivat näyttävät, missä se viimeksi nähtiin. Sininen nuoli näyttää meteorin näkyvän lennon.

static map
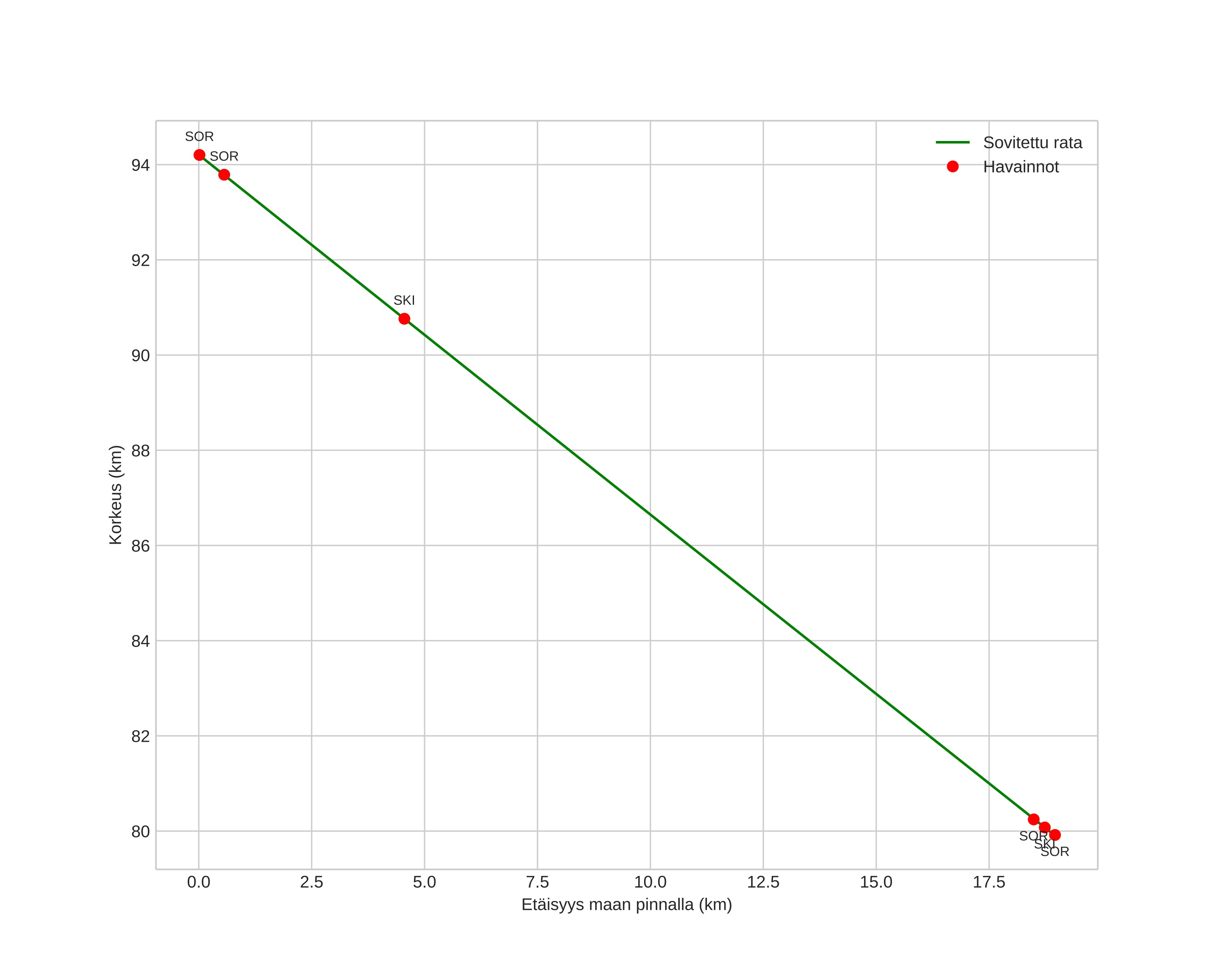
height profile
Meteorin ilmakehärata:
Alkukorkeus: 93,8 km
Loppukorkeus: 79,6 km
Alkupiste: 68,922N 18,878E
Loppupiste: 69,080N 18,712E
Suunta: 339,5°
Kallistuskulma: 37,0°
Tulonopeus: 22,6 km/s
Radiantin R,A,: 22:53 (343,5°)
Radiantin Dekl,: 13,0°
Meteoriparvi: Sporadinen
Meteoroidin rataelementit:
Perihelietäisyys: 0,778 AU
Eksentrisyys: 0,867
Inklinaatio: 10,0°
Nousevan solmun pituus: 187,3°
Perihelin argumentti: 238,7°
Keskianomalia: 357,5°
Epookki: 2022 SEP 30 19:53:28
orbit plot

Ei-interaktiivinen kuvaaja | Interaktiivinen kuvaaja

position vs time
speed and acceleration