🇳🇴 🇬🇧 🇩🇪 🇨🇿 🇫🇮

Meteor über Moen 2022-09-30 19:53:28 UTC

KML-Datei  |  Interaktive Karte

Die Karte zeigt die Peilungen für den Meteor. Die helleren Linien zeigen die Richtungen von den Beobachtungsorten beim Erscheinen des Meteors, und die dunkleren Linien, wo er zuletzt gesehen wurde. Der blaue Pfeil zeigt die sichtbare Bahn des Meteors.

static map
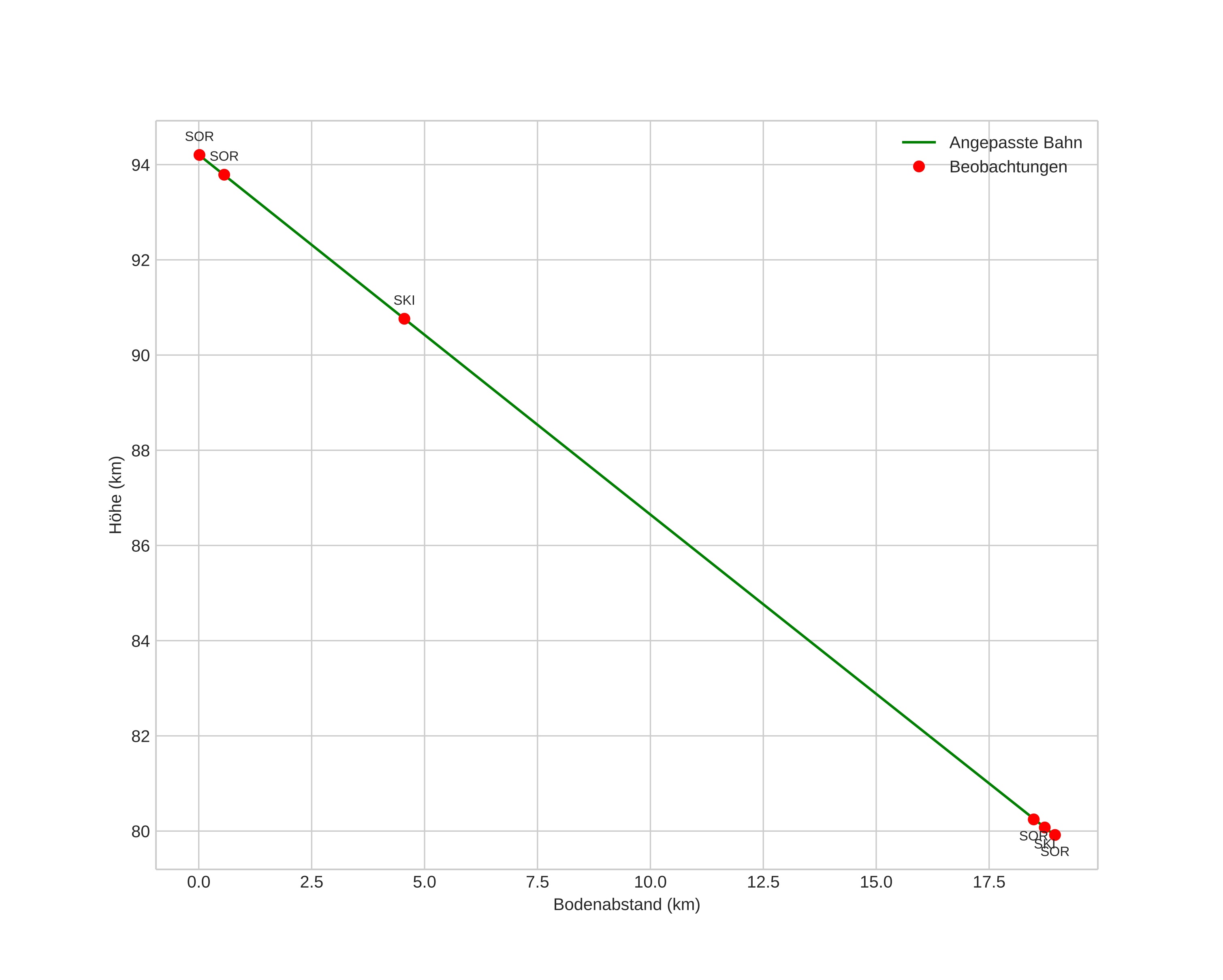
height profile
Atmosphärische Bahn des Meteors:
Anfangshöhe: 93,8 km
Endhöhe: 79,6 km
Startposition: 68,922N 18,878E
Endposition: 69,080N 18,712E
Richtung: 339,5°
Neigungswinkel: 37,0°
Eintrittsgeschwindigkeit: 22,6 km/s
Rektaszension des Radianten: 22:53 (343,5°)
Deklination des Radianten: 13,0°
Meteorstrom: sporadisch
Bahnelemente des Meteoroiden:
Periheldistanz: 0,778 AU
Exzentrizität: 0,867
Inklination: 10,0°
Länge des aufsteigenden Knotens: 187,3°
Argument des Perihels: 238,7°
Mittlere Anomalie: 357,5°
Epoche: 2022 SEP 30 19:53:28
orbit plot

Nicht-interaktives Diagramm | Interaktives Diagramm

position vs time
speed and acceleration