🇳🇴 🇬🇧 🇩🇪 🇨🇿 🇫🇮

Meteor, poloha: Bogen 2022-10-02 02:30:20 UTC

Soubor KML  |  InteraktivnĂ­ mapa

Mapa zobrazuje dráhy meteoru. Světlejší čáry ukazují směry od pozorovacích stanic při objevení se meteoru a tmavší čáry, kde byl naposledy viděn. Modrá šipka značí viditelnou dráhu meteoru.

static map
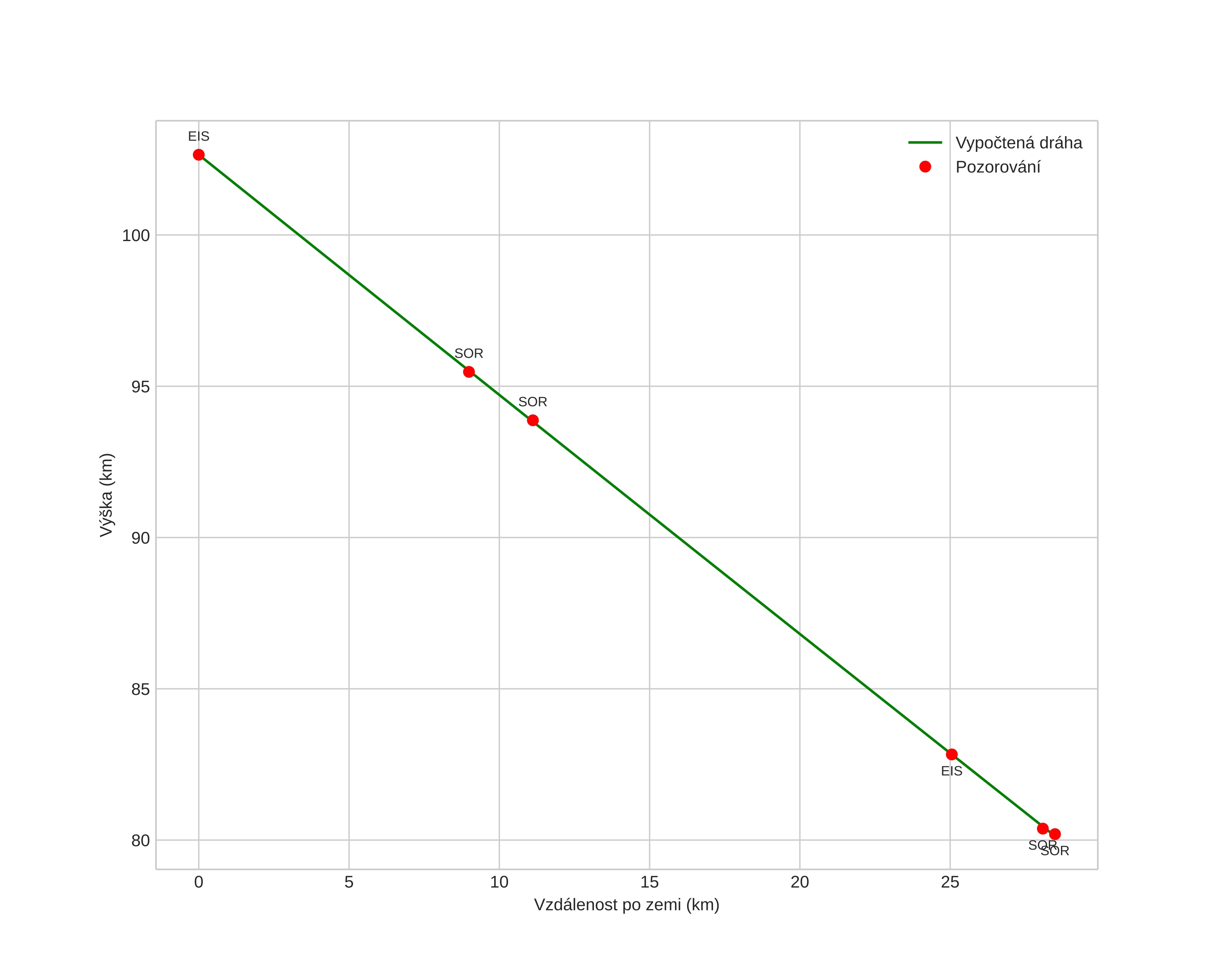
height profile
Atmosférická dráha meteoru:
Počáteční výška: 101,1 km
Konečná výška: 80,8 km
Počáteční poloha: 68,352N 16,749E
Konečná poloha: 68,516N 17,190E
Směr: 44,6°
Sklon: 38,4°
VstupnĂ­ rychlost: 42,5 km/s
Rektascenze radiantu: 01:51 (28,0°)
Deklinace radiantu: 20,7°
MeteorickĂ˝ roj: sporadickĂ˝
Elementy dráhy meteoroidu:
Vzdálenost v periheliu: 0,114 AU
Excentricita: 0,978
Sklon dráhy: 25,8°
Délka vzestupného uzlu: 188,6°
Argument perihelia: 322,3°
Střední anomálie: 357,3°
Epocha: 2022 OCT 02 02:30:20
orbit plot

NeinteraktivnĂ­ graf | InteraktivnĂ­ graf

position vs time
speed and acceleration