🇳🇴 🇬🇧 🇩🇪 🇨🇿 🇫🇮

Meteor über Bogen 2022-10-02 02:30:20 UTC

KML-Datei  |  Interaktive Karte

Die Karte zeigt die Peilungen für den Meteor. Die helleren Linien zeigen die Richtungen von den Beobachtungsorten beim Erscheinen des Meteors, und die dunkleren Linien, wo er zuletzt gesehen wurde. Der blaue Pfeil zeigt die sichtbare Bahn des Meteors.

static map
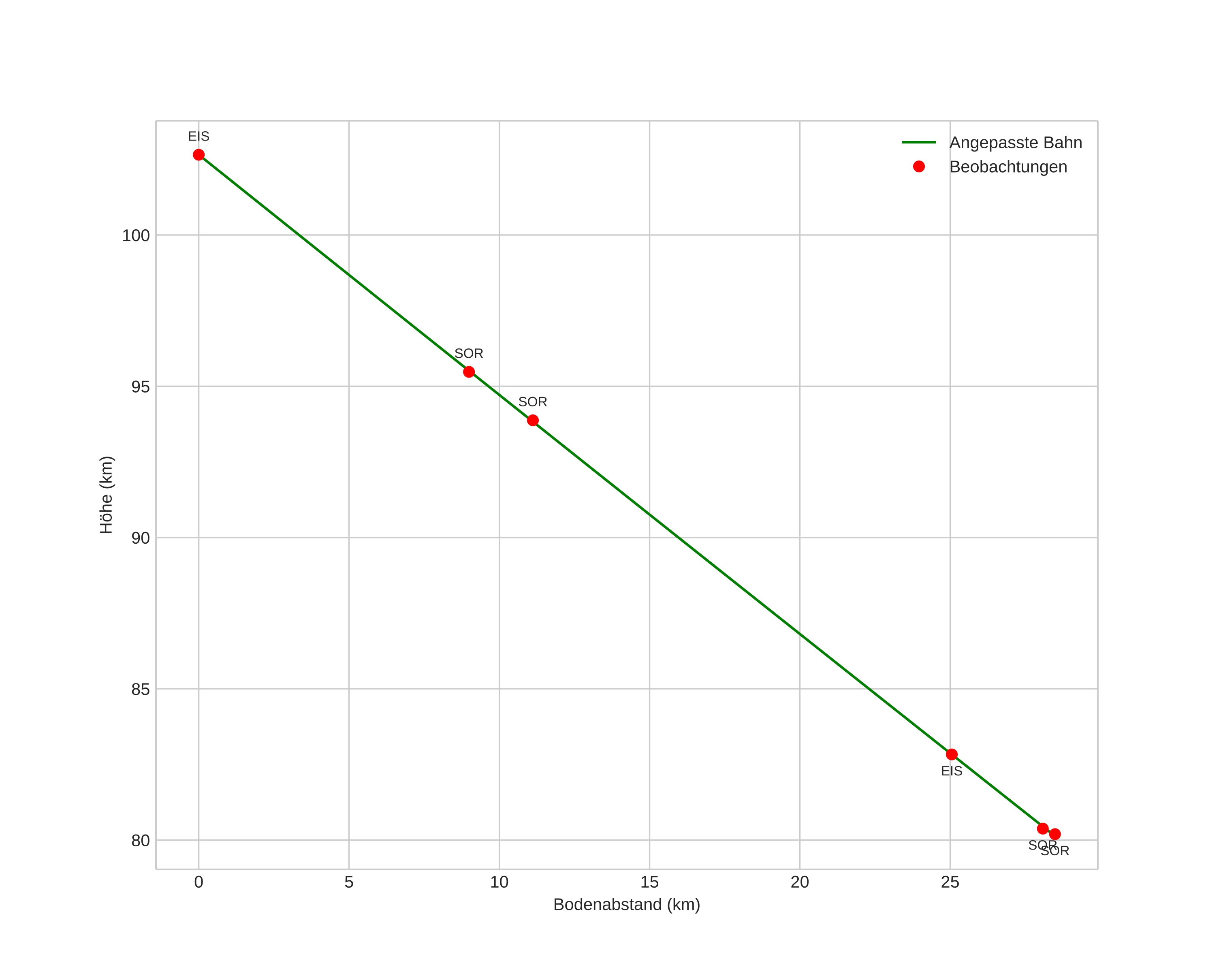
height profile
Atmosphärische Bahn des Meteors:
Anfangshöhe: 101,1 km
Endhöhe: 80,8 km
Startposition: 68,352N 16,749E
Endposition: 68,516N 17,190E
Richtung: 44,6°
Neigungswinkel: 38,4°
Eintrittsgeschwindigkeit: 42,5 km/s
Rektaszension des Radianten: 01:51 (28,0°)
Deklination des Radianten: 20,7°
Meteorstrom: sporadisch
Bahnelemente des Meteoroiden:
Periheldistanz: 0,114 AU
Exzentrizität: 0,978
Inklination: 25,8°
Länge des aufsteigenden Knotens: 188,6°
Argument des Perihels: 322,3°
Mittlere Anomalie: 357,3°
Epoche: 2022 OCT 02 02:30:20
orbit plot

Nicht-interaktives Diagramm | Interaktives Diagramm

position vs time
speed and acceleration