🇳🇴 🇬🇧 🇩🇪 🇨🇿 🇫🇮

Meteor Bogenin yllä 2022-10-02 02:30:20 UTC

KML-tiedosto  |  Interaktiivinen kartta

Kartta näyttää meteorin suuntahavainnot. Vaaleammat viivat näyttävät suunnat havaintoasemilta meteorin ilmestyessä, ja tummemmat viivat näyttävät, missä se viimeksi nähtiin. Sininen nuoli näyttää meteorin näkyvän lennon.

static map
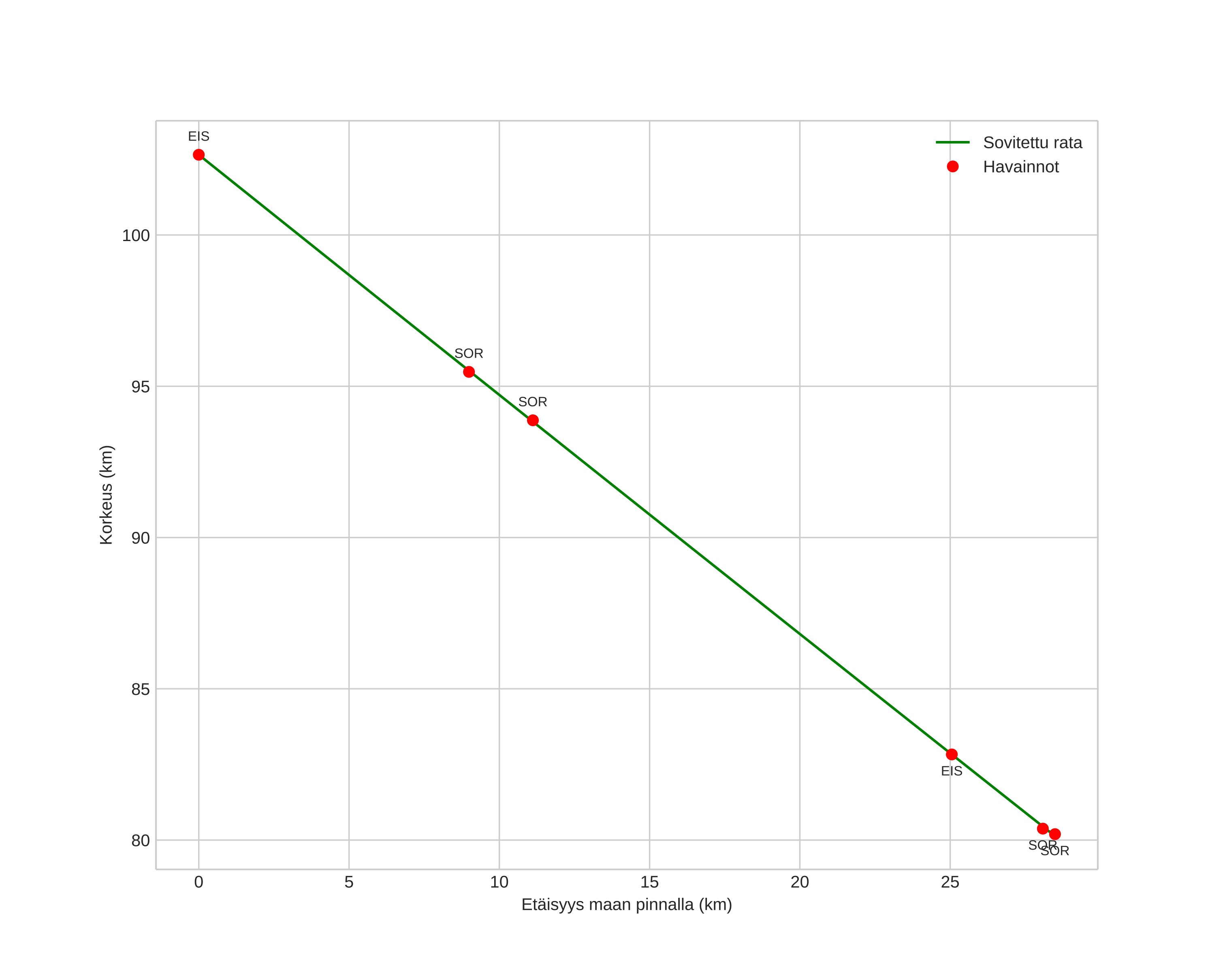
height profile
Meteorin ilmakehärata:
Alkukorkeus: 101,1 km
Loppukorkeus: 80,8 km
Alkupiste: 68,352N 16,749E
Loppupiste: 68,516N 17,190E
Suunta: 44,6°
Kallistuskulma: 38,4°
Tulonopeus: 42,5 km/s
Radiantin R,A,: 01:51 (28,0°)
Radiantin Dekl,: 20,7°
Meteoriparvi: Sporadinen
Meteoroidin rataelementit:
Perihelietäisyys: 0,114 AU
Eksentrisyys: 0,978
Inklinaatio: 25,8°
Nousevan solmun pituus: 188,6°
Perihelin argumentti: 322,3°
Keskianomalia: 357,3°
Epookki: 2022 OCT 02 02:30:20
orbit plot

Ei-interaktiivinen kuvaaja | Interaktiivinen kuvaaja

position vs time
speed and acceleration