🇳🇴 🇬🇧 🇩🇪 🇨🇿 🇫🇮

Meteor, poloha: Prestfoss 2022-10-03 23:06:32 UTC

Soubor KML  |  InteraktivnĂ­ mapa

Mapa zobrazuje dráhy meteoru. Světlejší čáry ukazují směry od pozorovacích stanic při objevení se meteoru a tmavší čáry, kde byl naposledy viděn. Modrá šipka značí viditelnou dráhu meteoru.

static map
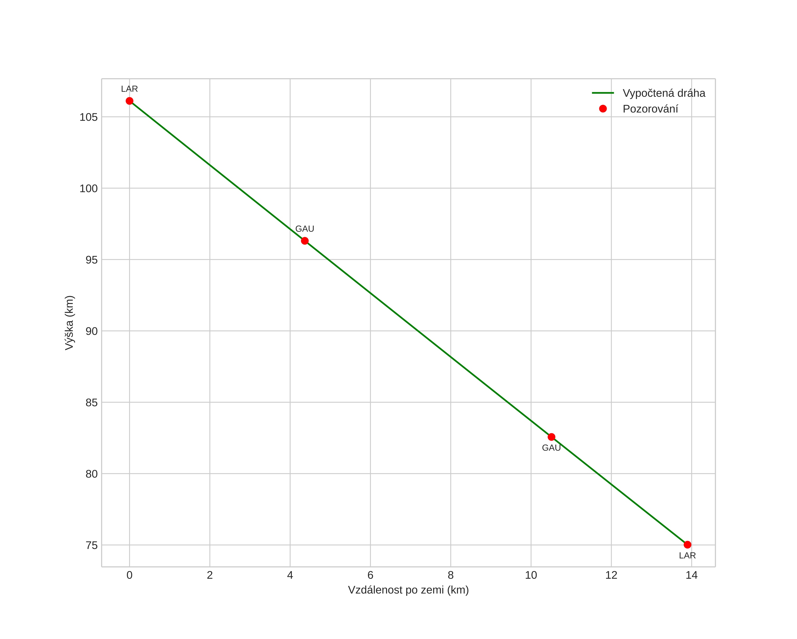
height profile
Atmosférická dráha meteoru:
Počáteční výška: 107,8 km
Konečná výška: 74,9 km
Počáteční poloha: 60,070N 9,735E
Konečná poloha: 59,939N 9,686E
Směr: 190,6°
Sklon: 65,7°
VstupnĂ­ rychlost: 44,5 km/s
Rektascenze radiantu: 02:54 (43,7°)
Deklinace radiantu: 82,8°
MeteorickĂ˝ roj: sporadickĂ˝
Elementy dráhy meteoroidu:
Vzdálenost v periheliu: 0,956 AU
Excentricita: 0,810
Sklon dráhy: 74,6°
Délka vzestupného uzlu: 190,4°
Argument perihelia: 205,9°
Střední anomálie: 358,4°
Epocha: 2022 OCT 03 23:06:32
orbit plot

NeinteraktivnĂ­ graf | InteraktivnĂ­ graf

position vs time
speed and acceleration